Subjects
Online Tutoring
Homework Help
Homework Library
Tutors
More
Bookstore
Blog
Technical Tips
FAQ
Contact Us
Get Help Now
Home
Homework Library
Mathematics
Calculus
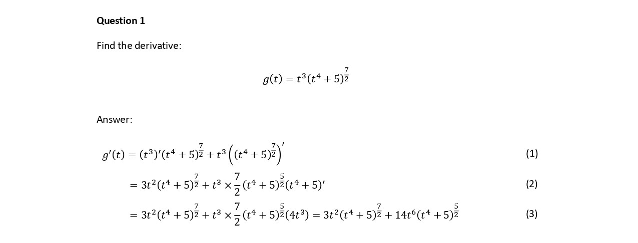
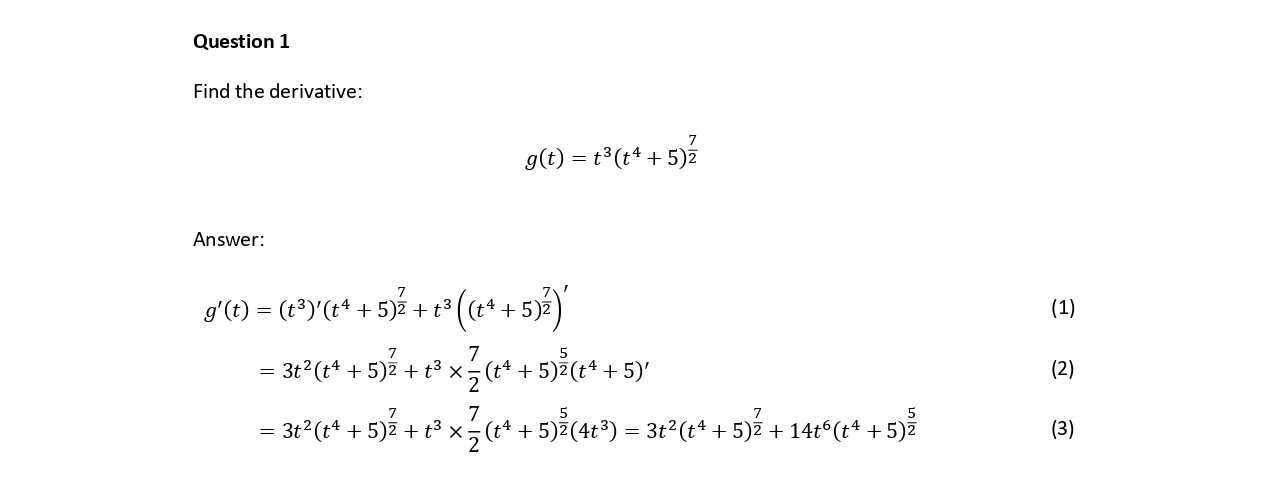
find the derivative y = =(2x5-3x+4)7 - 7 Find the derivative i(...
find the derivative y = =(2x5-3x+4)7 - 7 Find the derivative i(...