Subjects
Online Tutoring
Homework Help
Homework Library
Tutors
More
Bookstore
Blog
Technical Tips
FAQ
Contact Us
Get Help Now
Home
Homework Library
Mathematics
Calculus
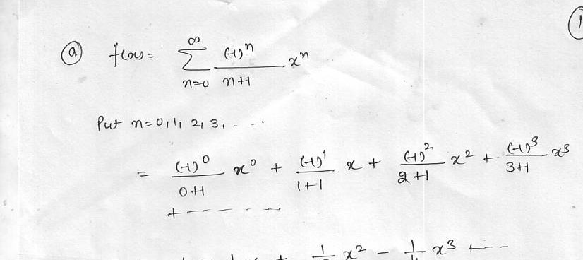
Infinite Series A function fis defined by the serie 80 f F(x) = ...
Infinite Series A function fis defined by the serie 80 f F(x) =...