Subjects
Online Tutoring
Homework Help
Homework Library
Tutors
More
Bookstore
Blog
Technical Tips
FAQ
Contact Us
Get Help Now
Home
Homework Library
Mathematics
Calculus
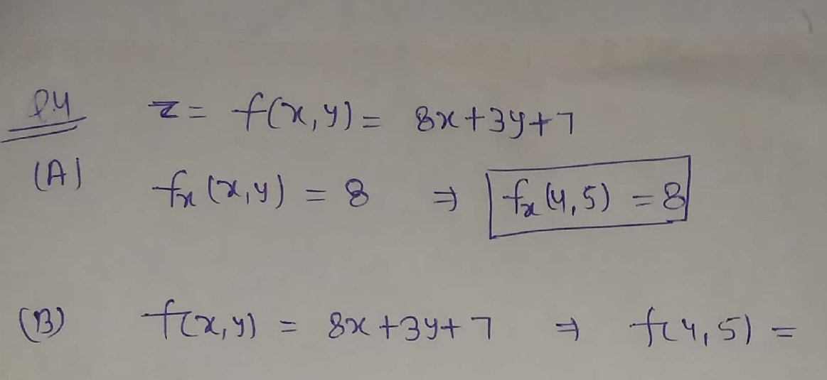
Question 4 Suppose that the tangent plane to the surface % = f(x,y...
Question 4 Suppose that the tangent plane to the surface % = f(x,y...