Subjects
Online Tutoring
Homework Help
Homework Library
Tutors
More
Bookstore
Blog
Technical Tips
FAQ
Contact Us
Get Help Now
Home
Homework Library
Mathematics
Calculus
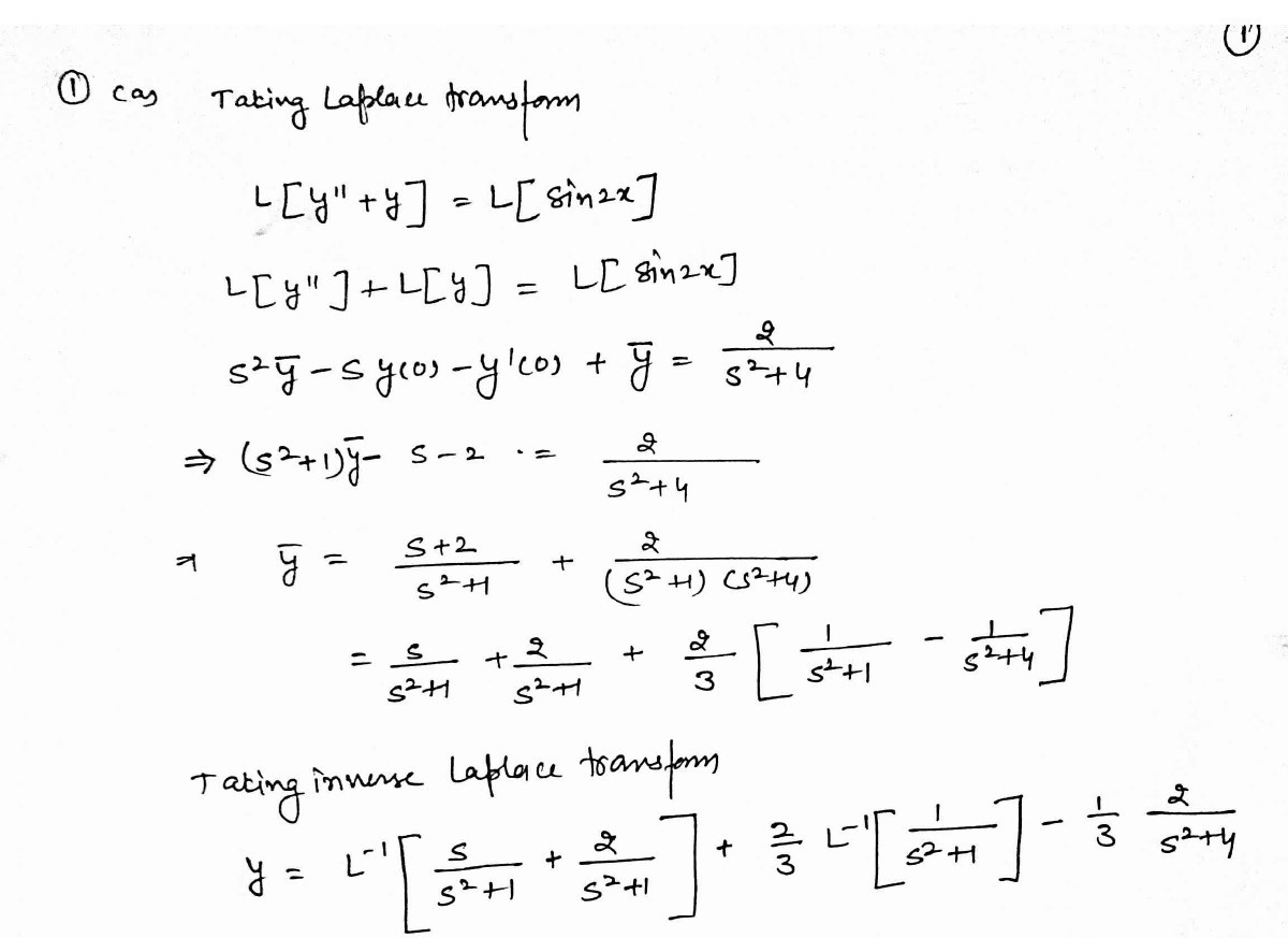
Question 1 a) Use Laplace Transform to solve the following IVP y&q...
Question 1 a) Use Laplace Transform to solve the following IVP y&q...