Subjects
Online Tutoring
Homework Help
Homework Library
Tutors
Online Classes
More
Bookstore
Blog
Technical Tips
FAQ
Contact Us
Get Help Now
Home
Homework Library
Mathematics
Combinatorics
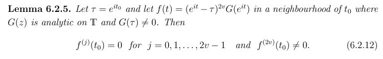
Lemma 6.2.5. Let T = eto and let f(t) = in a neighbourhood of to wh...
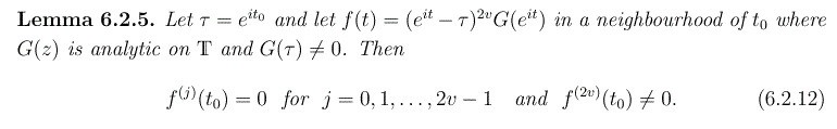
Lemma 6.2.5. Let T = eto and let f(t) = in a neighbourhood of to wh...