Subjects
Online Tutoring
Homework Help
Homework Library
Tutors
Online Classes
More
Bookstore
Blog
Technical Tips
FAQ
Contact Us
Get Help Now
Home
Homework Library
Mathematics
Combinatorics
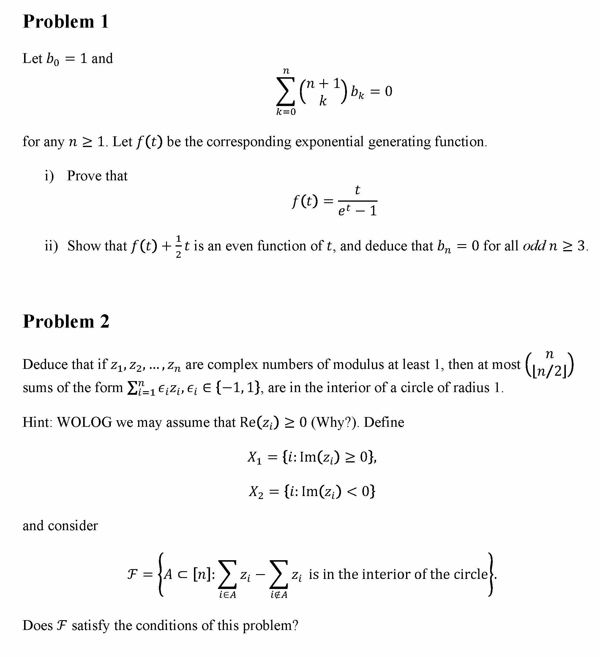
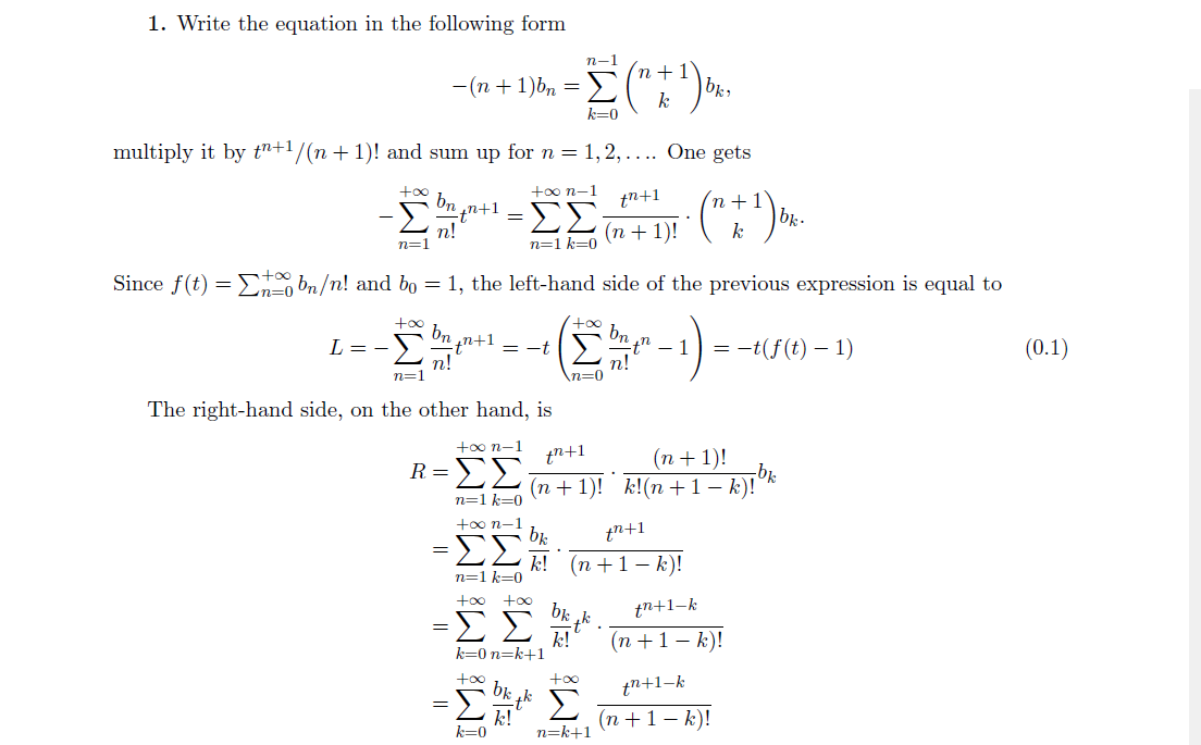
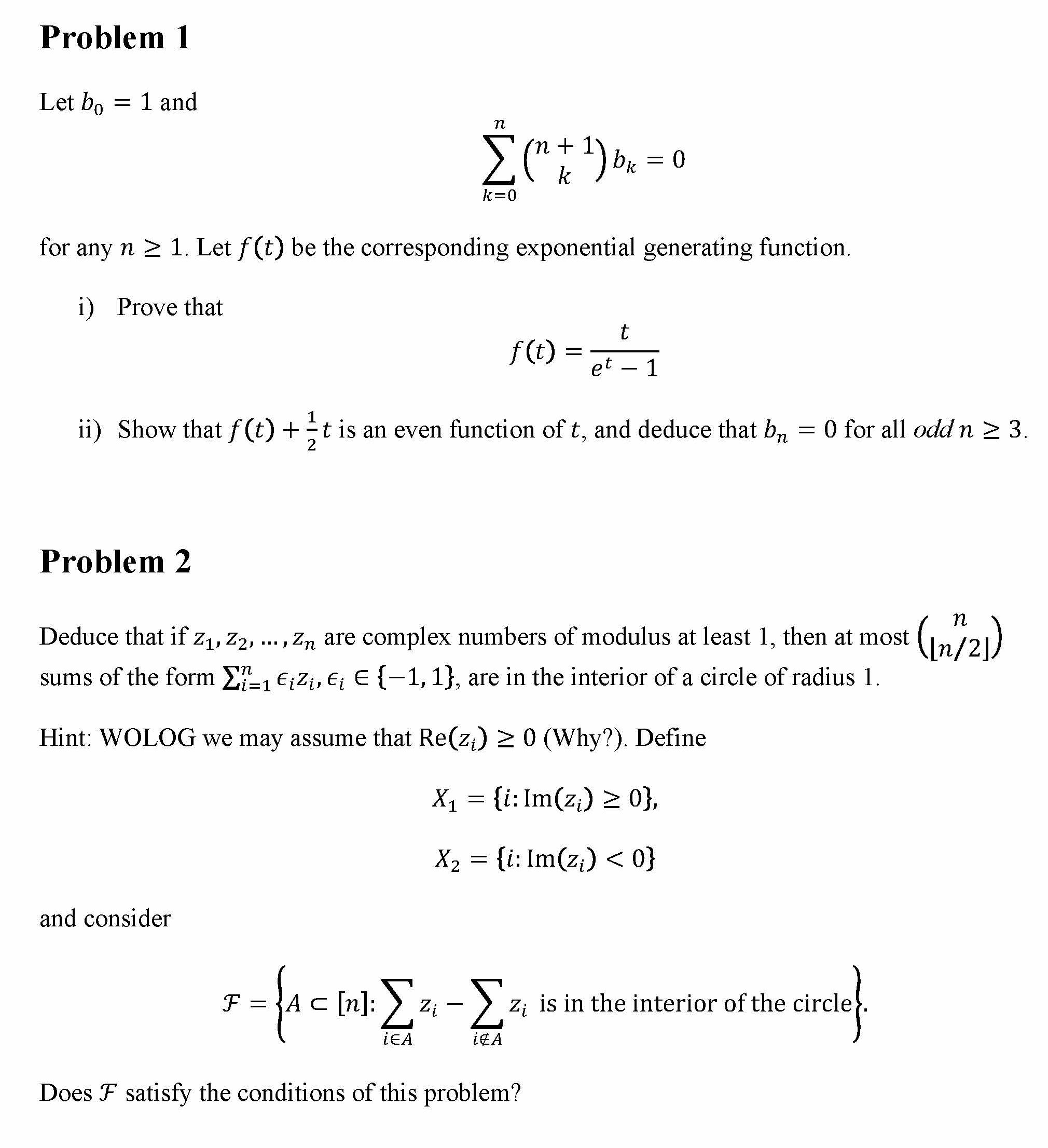
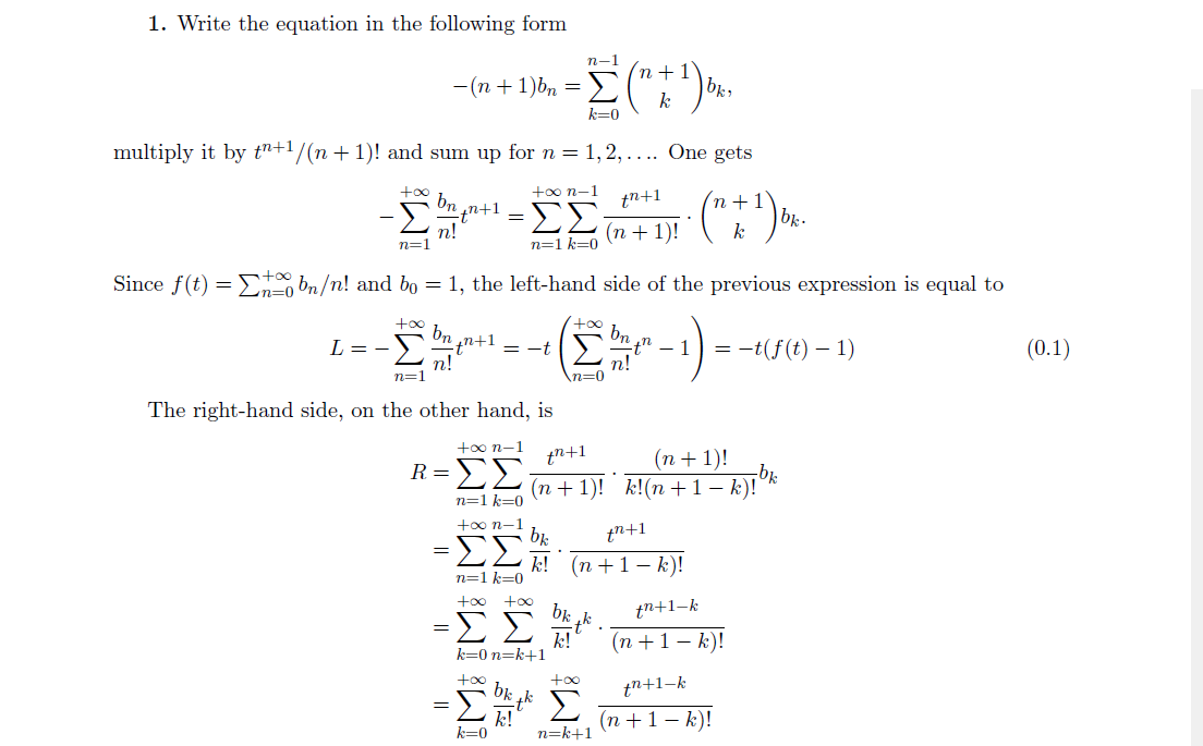
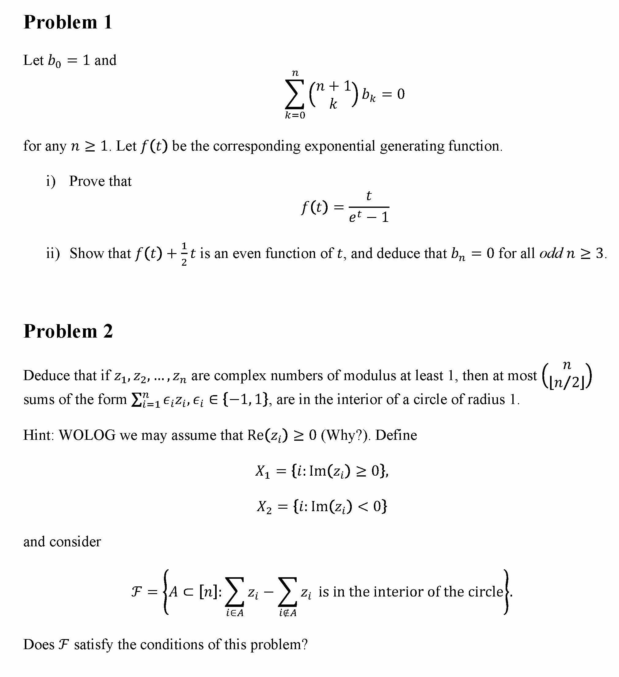
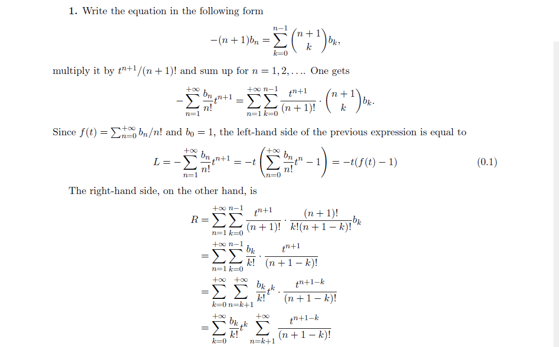
Problem 1 Let �" = 1 and � + 1 � �( = 0...
Problem 1 Let �" = 1 and � + 1 � �( = 0 * (+"...