Subjects
Online Tutoring
Homework Help
Homework Library
Tutors
Online Classes
More
Bookstore
Blog
Technical Tips
FAQ
Contact Us
Get Help Now
Home
Homework Library
Mathematics
Complex Analysis
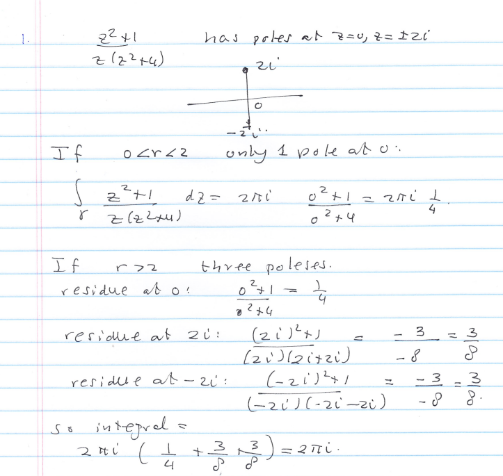
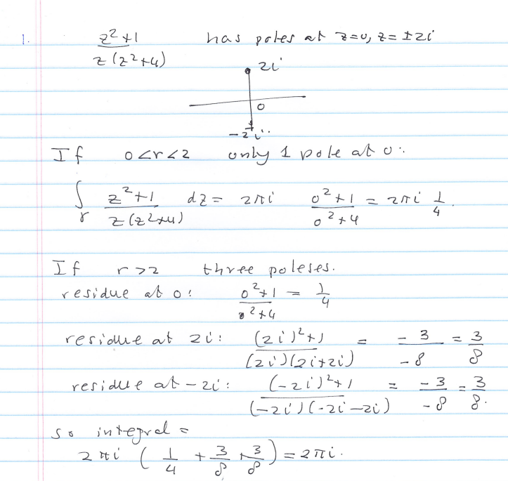
1. Evaluate z²+1 dz where n(t) = for all possible values of r ...
1. Evaluate z²+1 dz where n(t) = for all possible values of r 2....