Subjects
Online Tutoring
Homework Help
Homework Library
Tutors
Online Classes
More
Bookstore
Blog
Technical Tips
FAQ
Contact Us
Get Help Now
Home
Homework Library
Mathematics
Complex Analysis
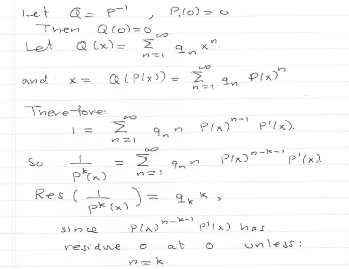
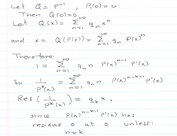
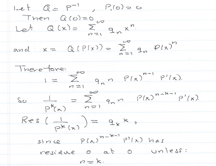
Theorem: Lagrange-Bürmann expansion Let p be an almost unit in ...
Theorem: Lagrange-Bürmann expansion Let p be an almost unit in P,...