Subjects
Online Tutoring
Homework Help
Homework Library
Tutors
Online Classes
More
Bookstore
Blog
Technical Tips
FAQ
Contact Us
Get Help Now
Home
Homework Library
Mathematics
Complex Analysis
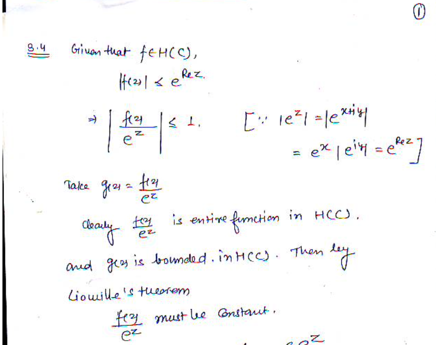
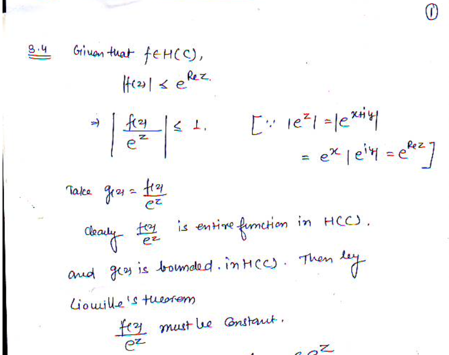
3,4. Suppose that f € (H(C) and If(z) eRe z for all Z. Show t...
3,4. Suppose that f € (H(C) and If(z) eRe z for all Z. Show that...