Subjects
Online Tutoring
Homework Help
Homework Library
Tutors
More
Bookstore
Blog
Technical Tips
FAQ
Contact Us
Get Help Now
Home
Homework Library
Mathematics
Complex Analysis
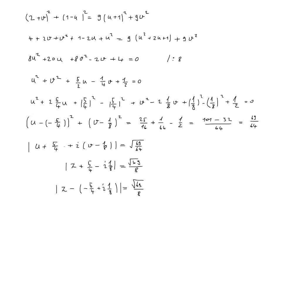
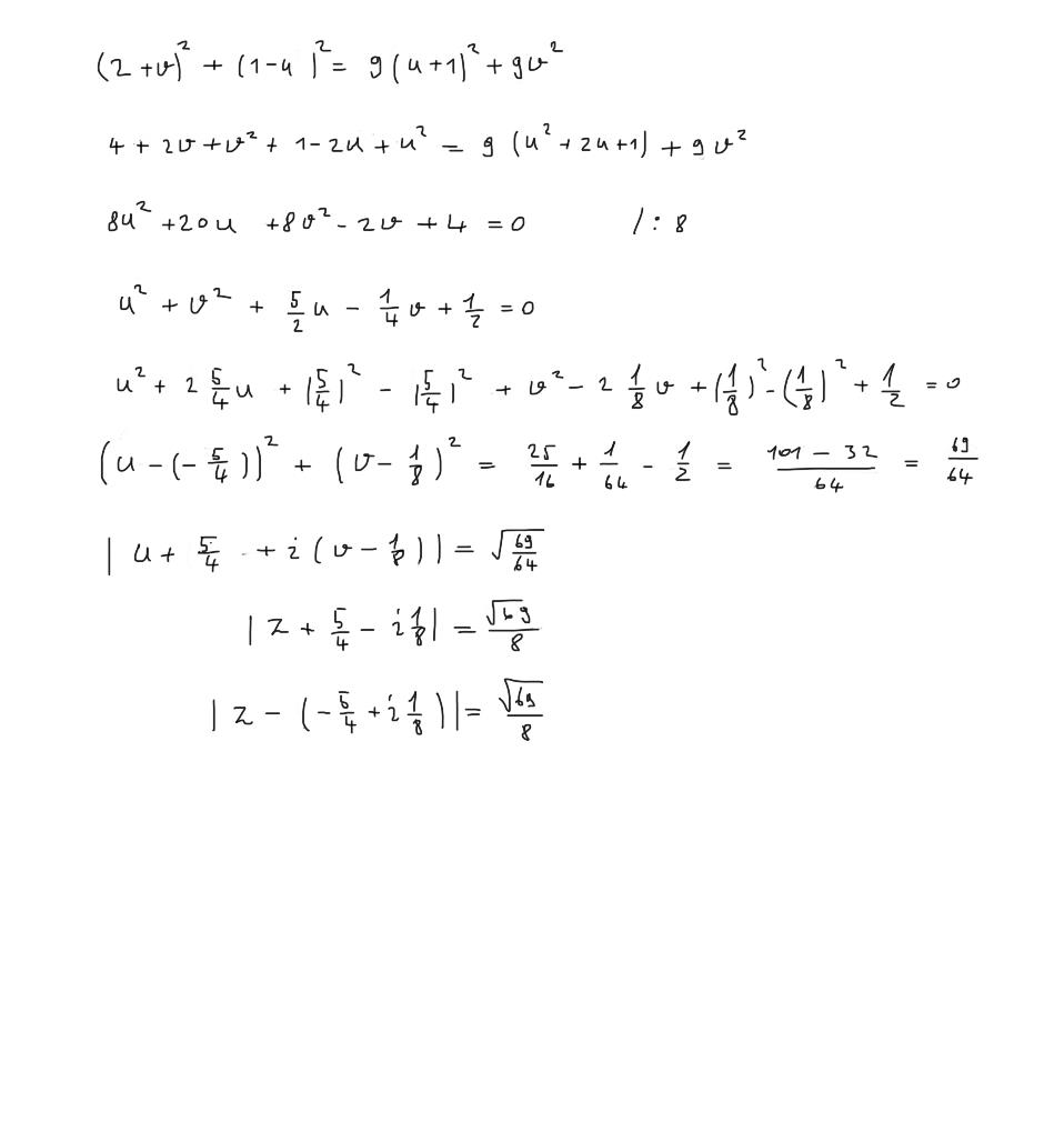
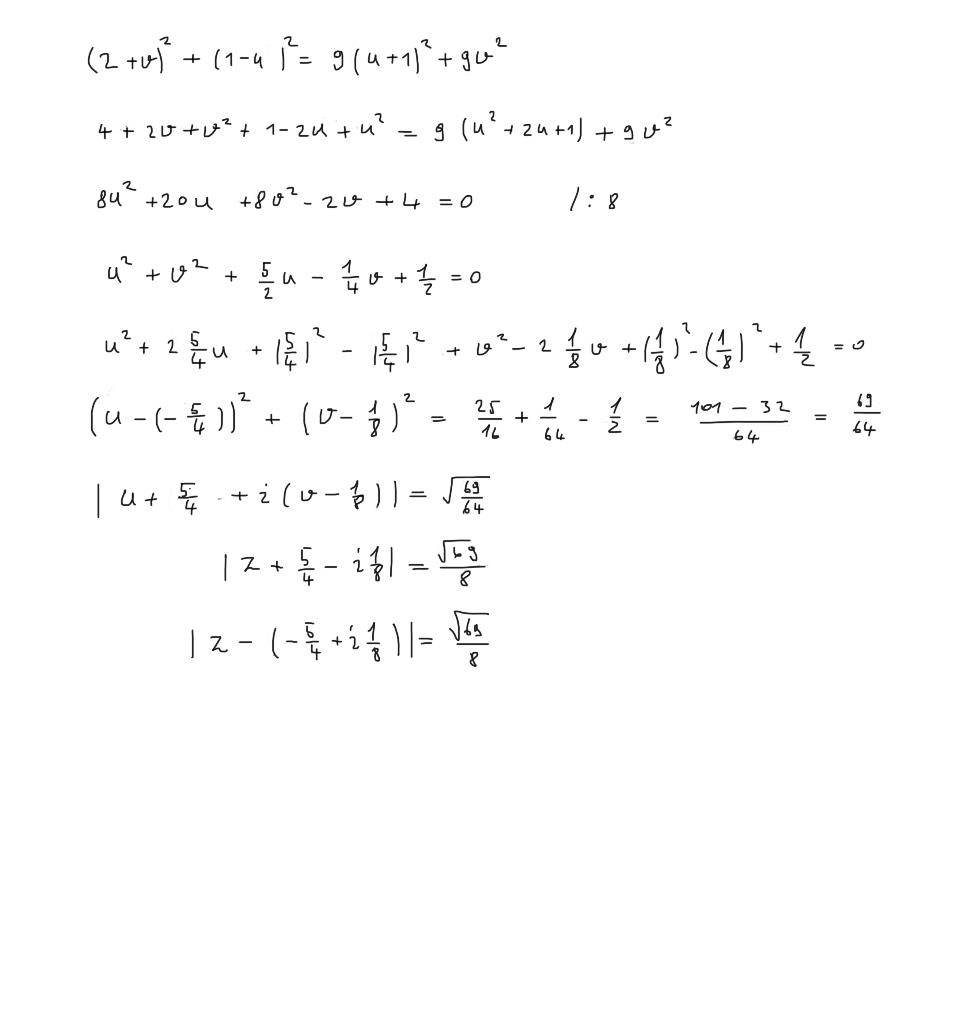
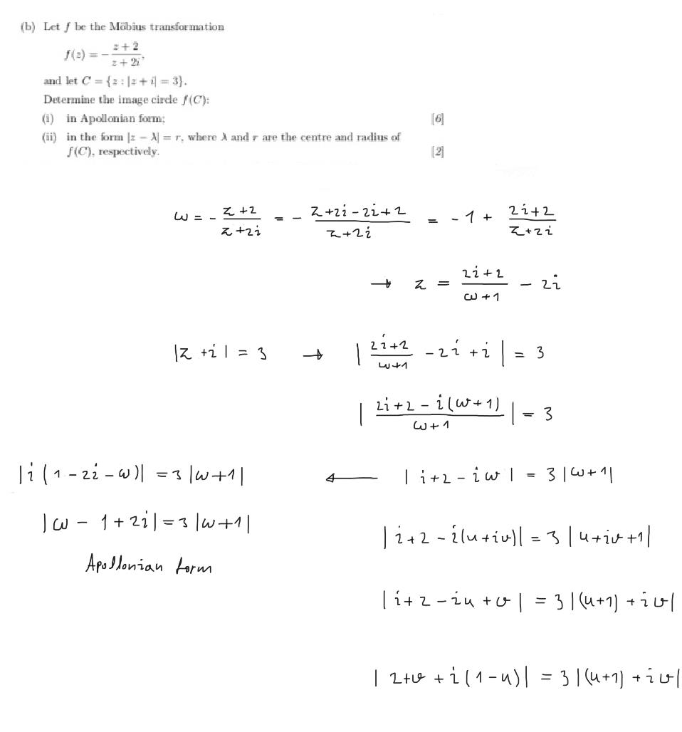
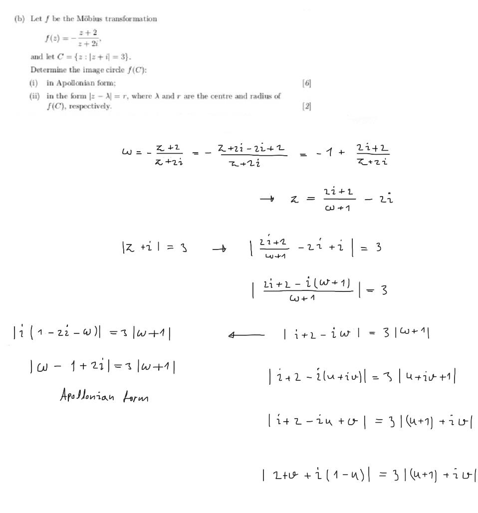
Question 1 (Unit D1) - 33 marks (a) Determine all possible Möbi...
Question 1 (Unit D1) - 33 marks (a) Determine all possible Möbius...