Subjects
Online Tutoring
Homework Help
Homework Library
Tutors
Online Classes
More
Bookstore
Blog
Technical Tips
FAQ
Contact Us
Get Help Now
Home
Homework Library
Mathematics
Complex Analysis
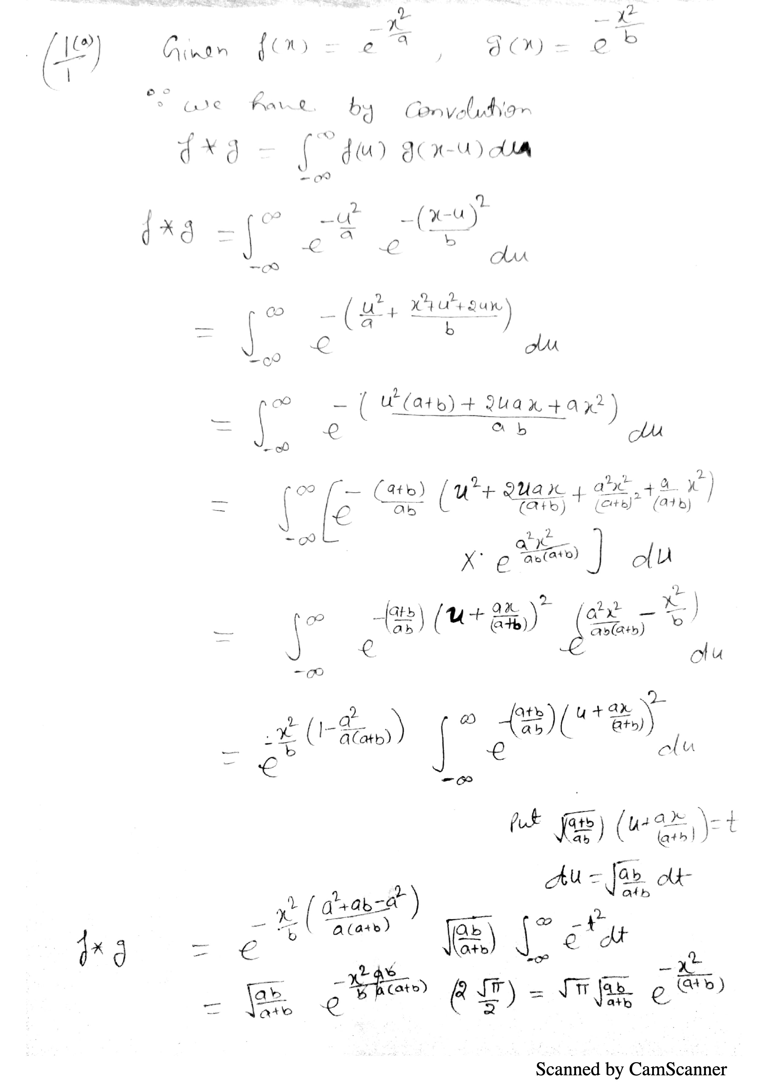
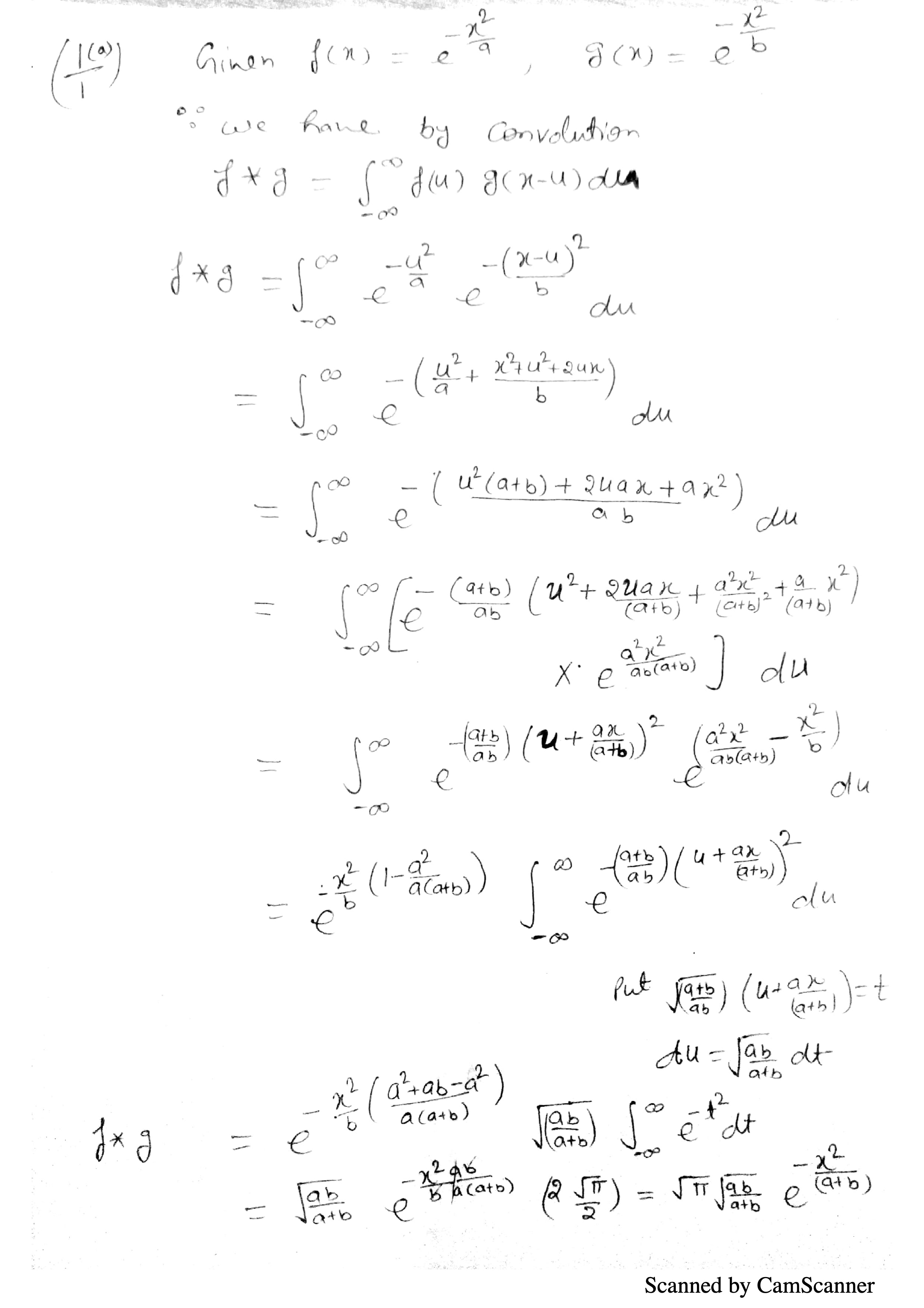
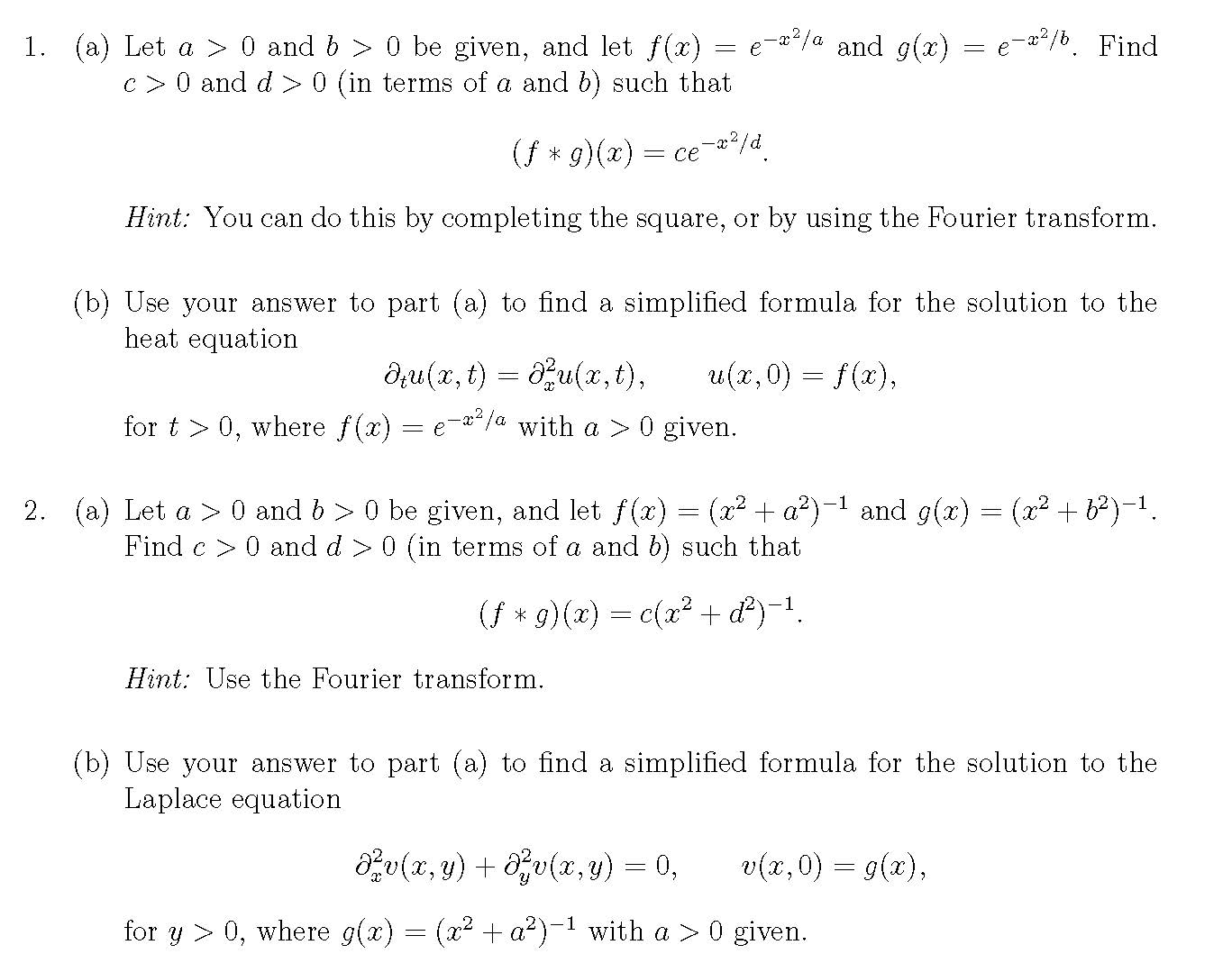
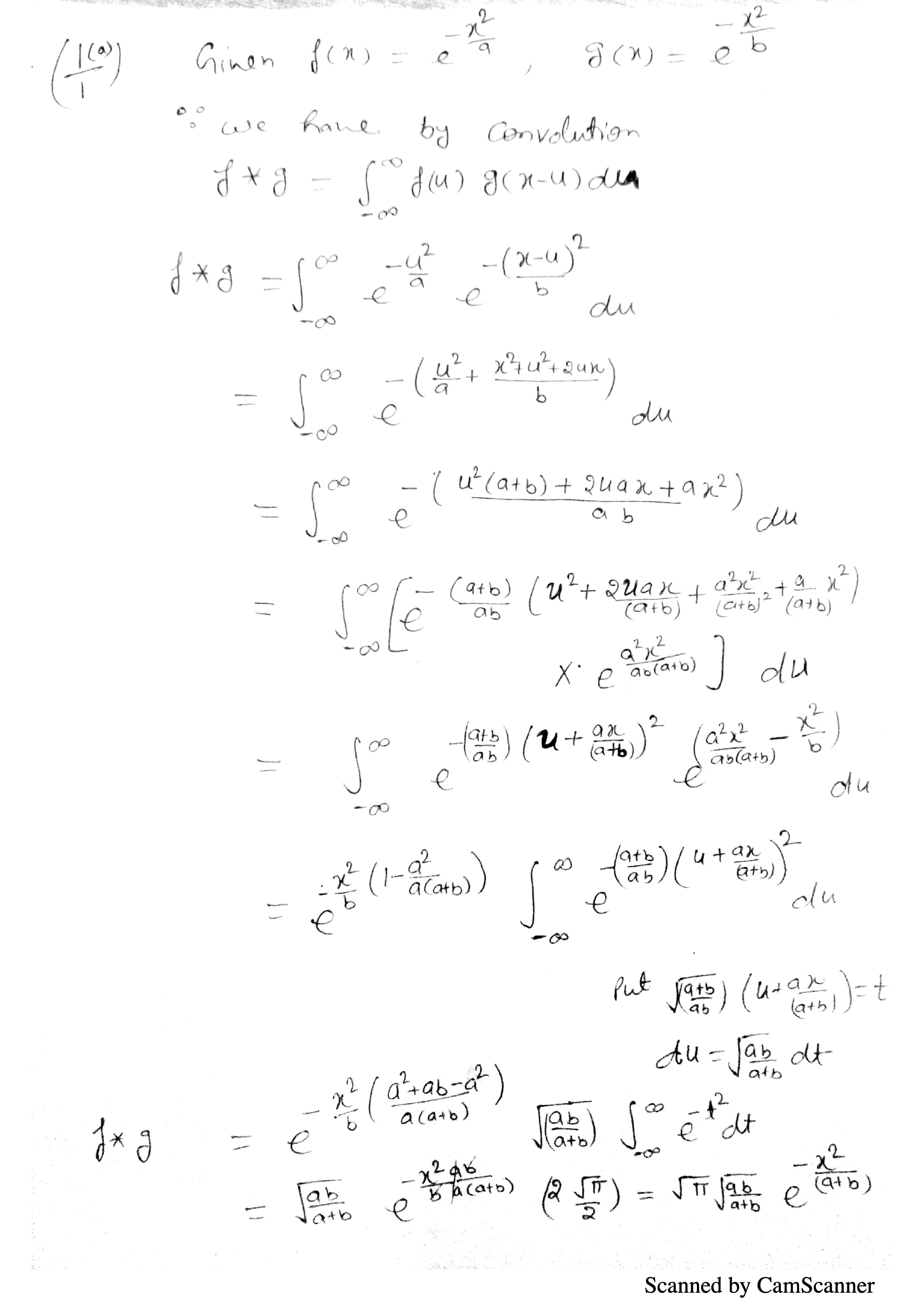
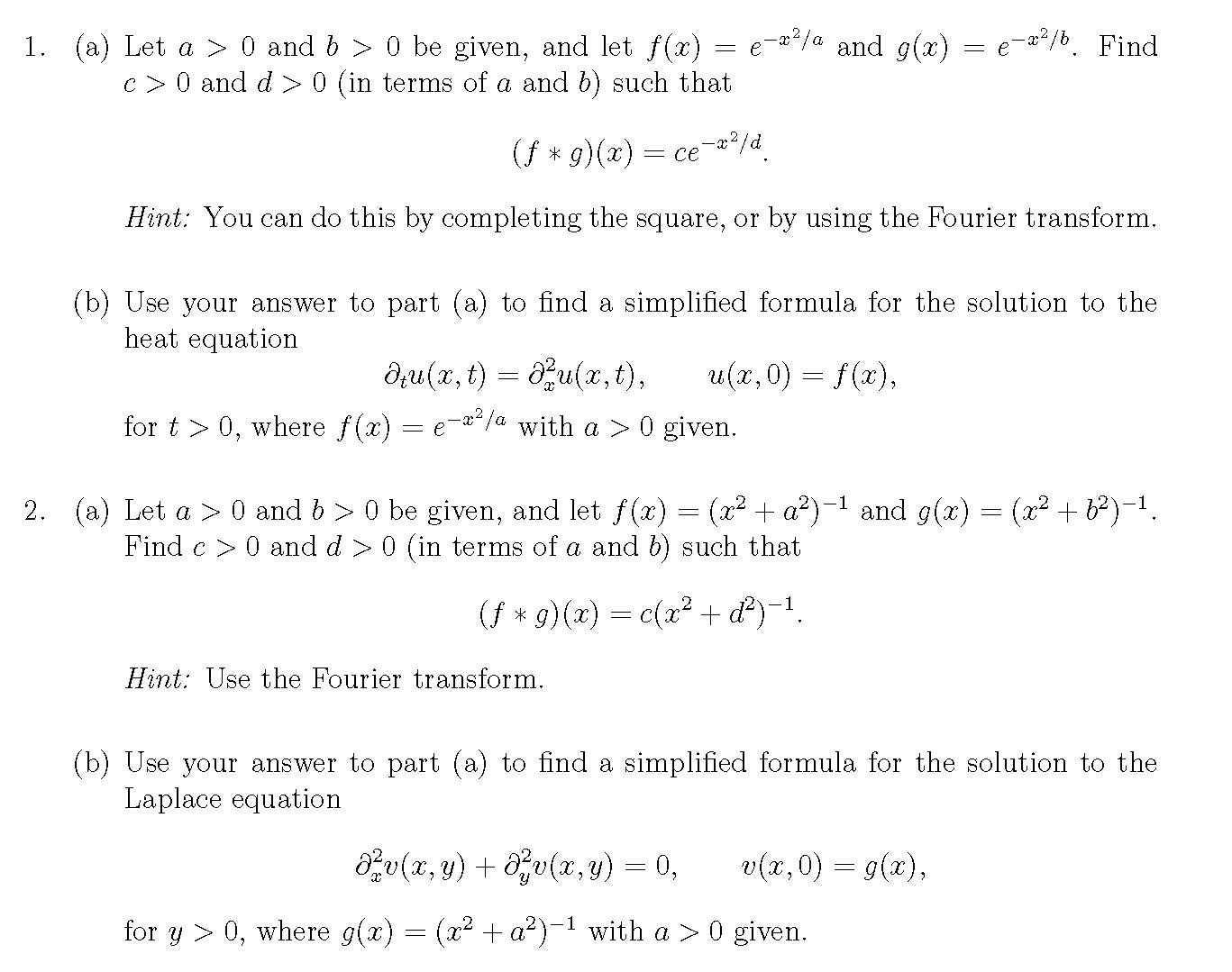
1. (a) Let a > 0 and b > 0 be given, and let f(x) = eô€€...
1. (a) Let a > 0 and b > 0 be given, and let f(x) = eô€€€x2=a...