Subjects
Online Tutoring
Homework Help
Homework Library
Tutors
More
Bookstore
Blog
Technical Tips
FAQ
Contact Us
Get Help Now
Home
Homework Library
Mathematics
Complex Analysis
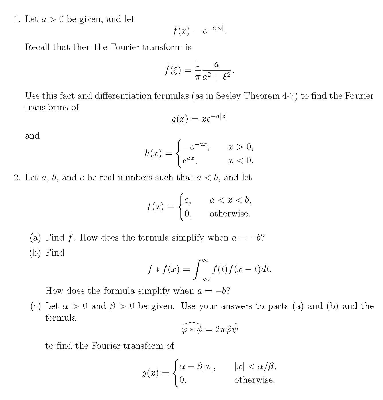
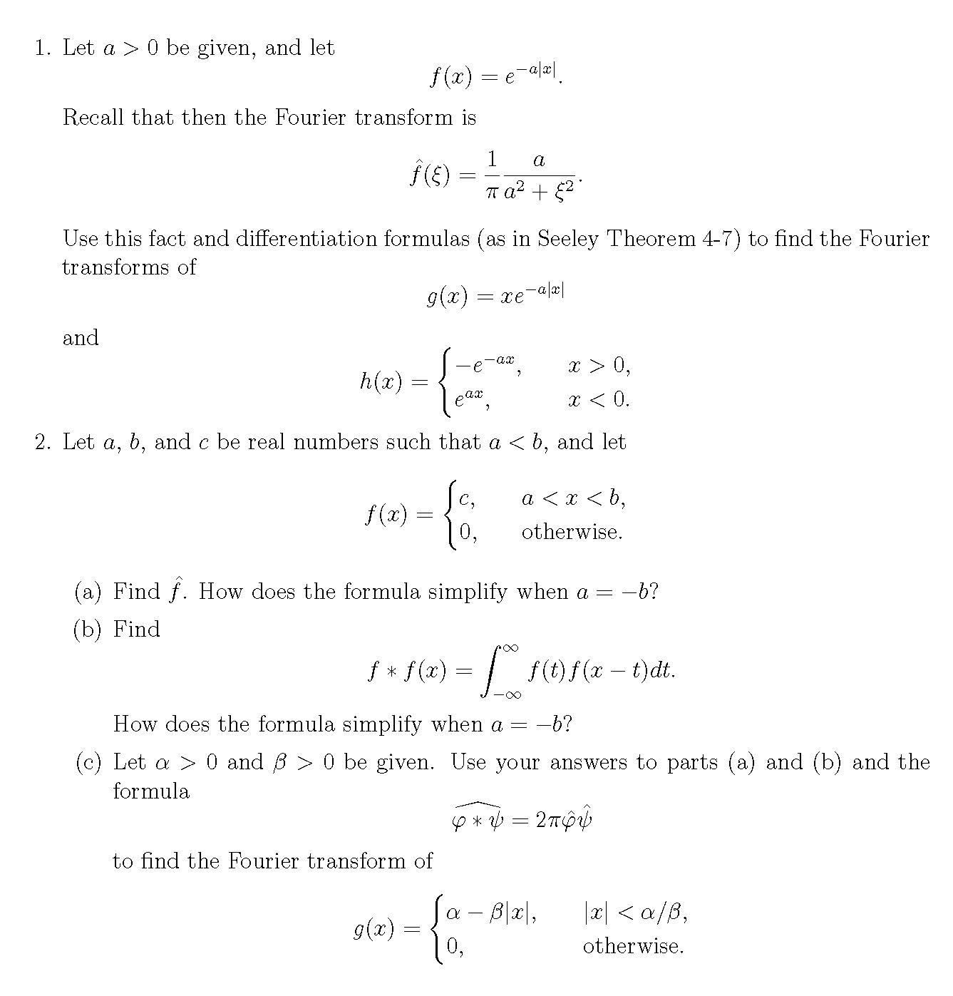
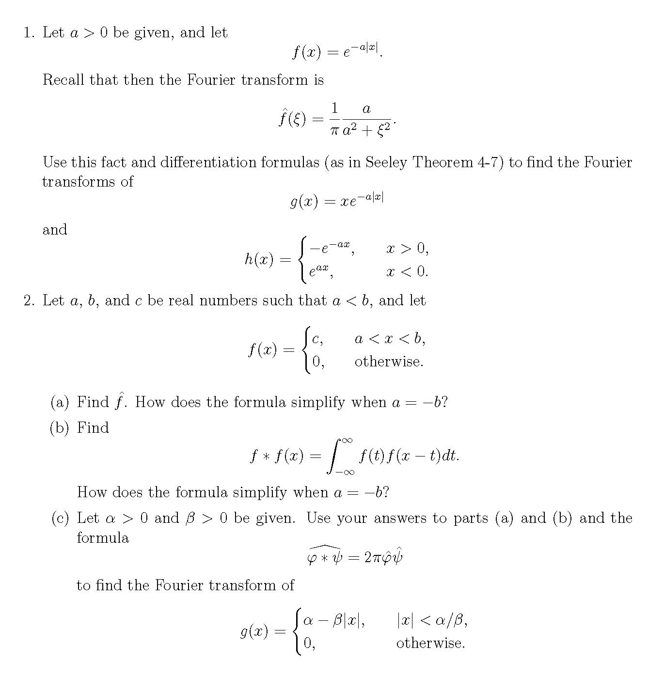
1. Let a > 0 be given, and let f(x) = eô€€€ajxj: Recall...
1. Let a > 0 be given, and let f(x) = eô€€€ajxj: Recall that t...