Subjects
Online Tutoring
Homework Help
Homework Library
Tutors
Online Classes
More
Bookstore
Blog
Technical Tips
FAQ
Contact Us
Get Help Now
Home
Homework Library
Mathematics
Complex Analysis
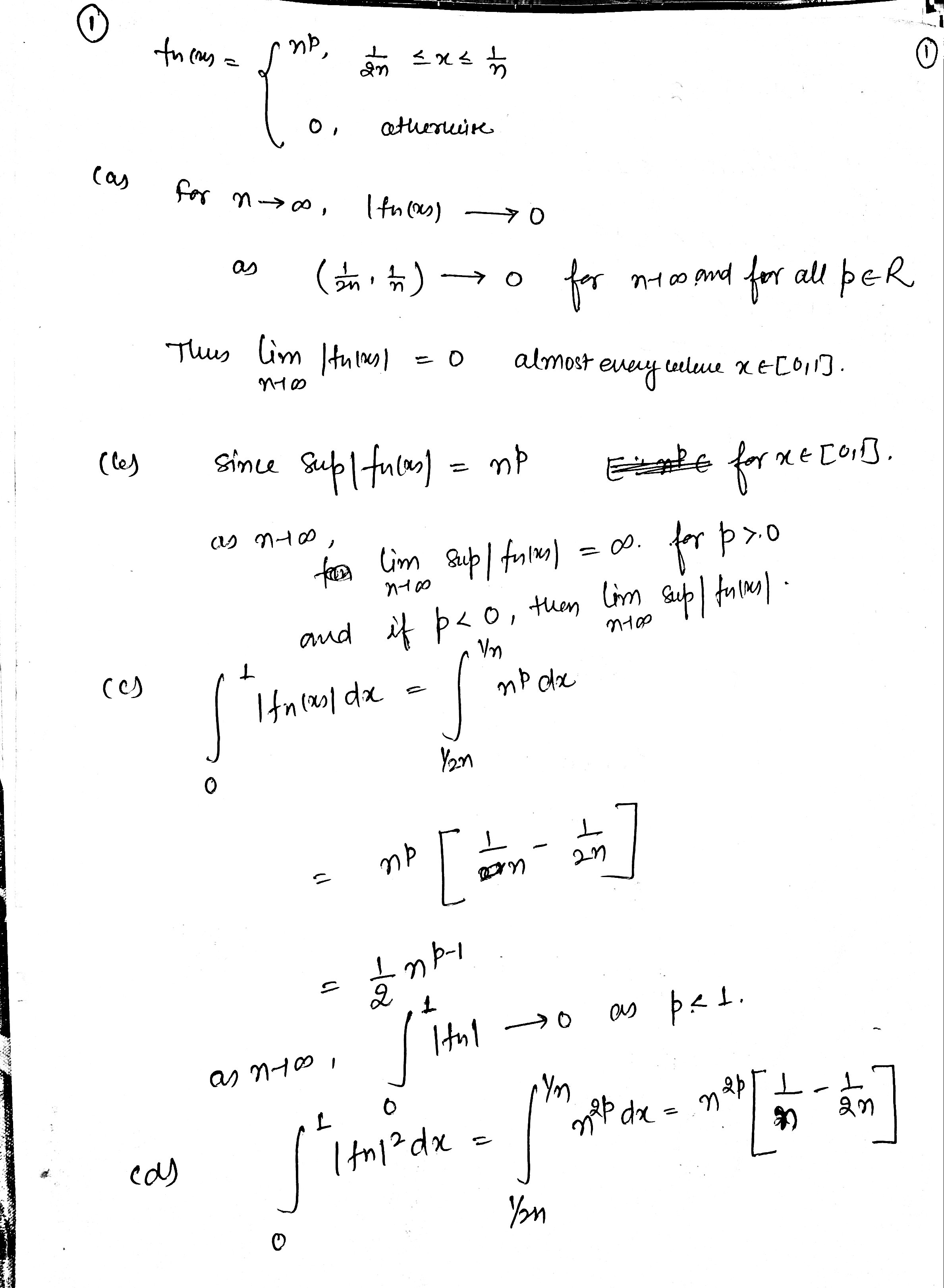
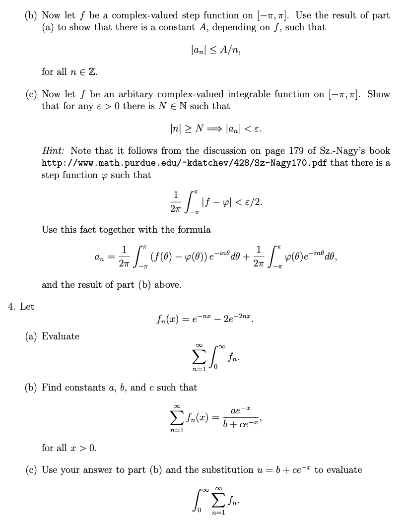
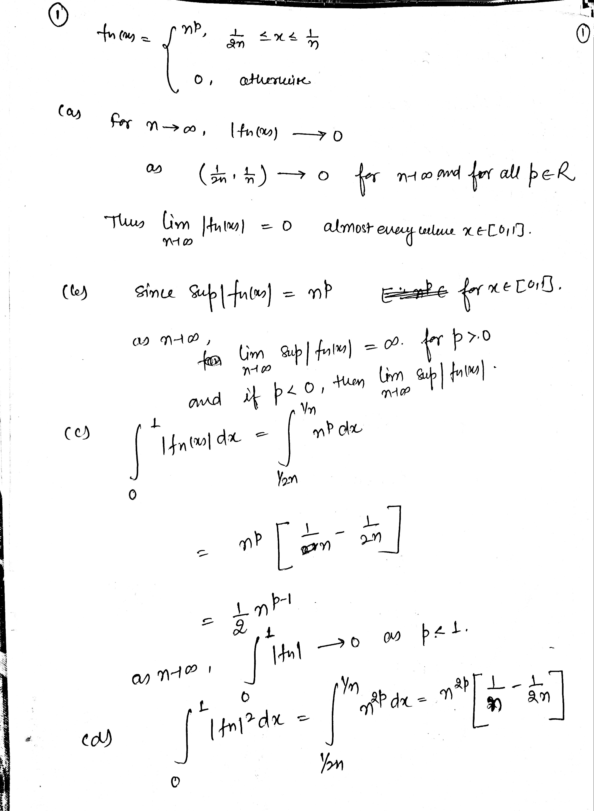
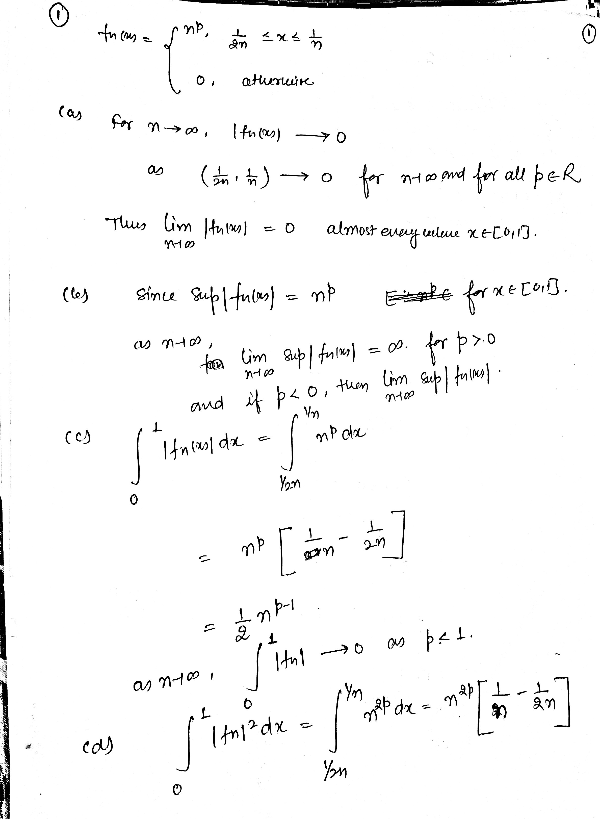
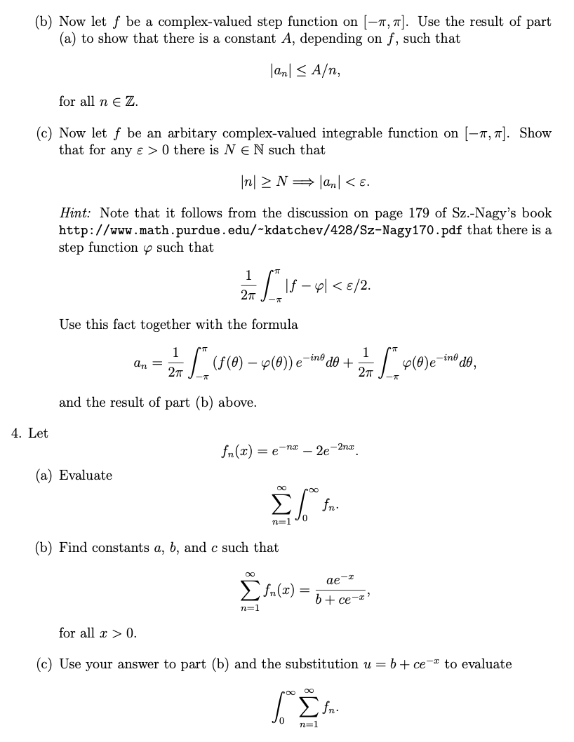
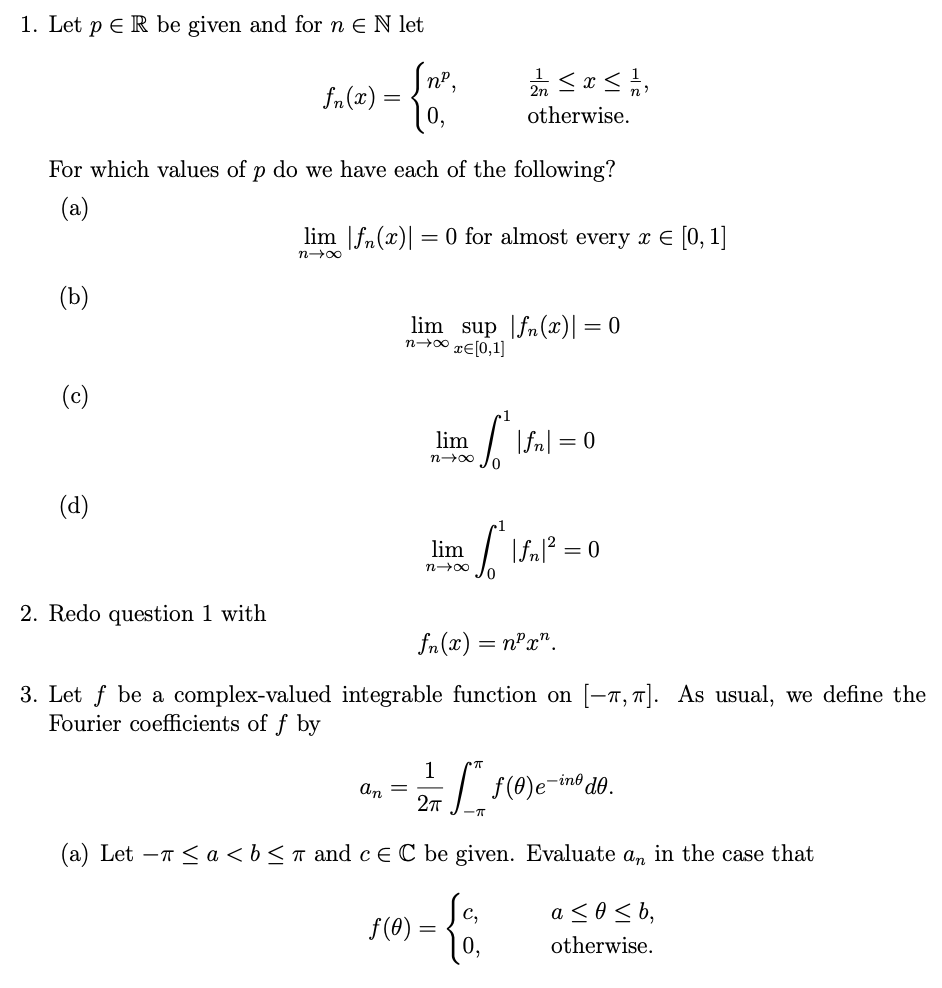
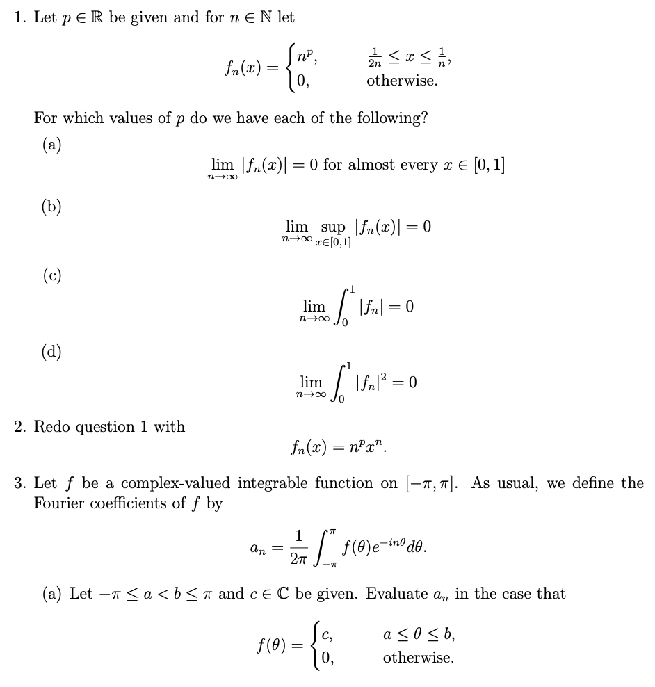
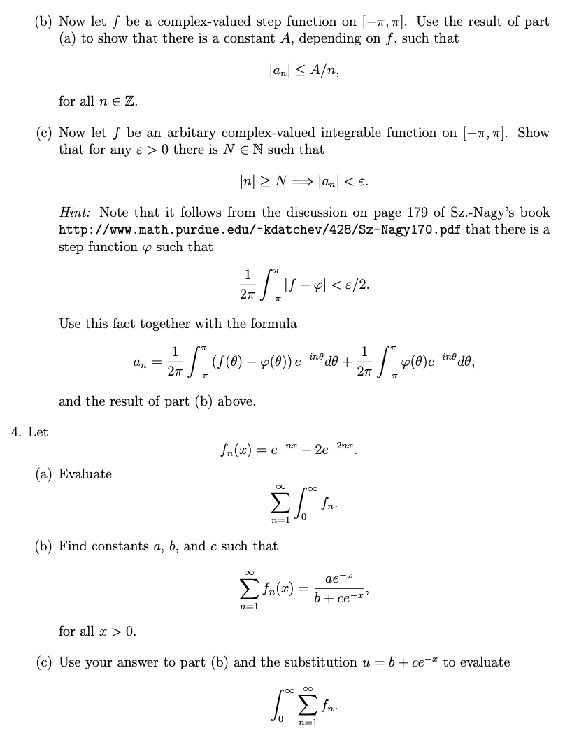
1. Let p € R be given and for n € N let fn (x) = { nP,...
1. Let p € R be given and for n € N let fn (x) = { nP, 0, , n...