Subjects
Online Tutoring
Homework Help
Homework Library
Tutors
More
Bookstore
Blog
Technical Tips
FAQ
Contact Us
Get Help Now
Home
Homework Library
Mathematics
Differential Equations
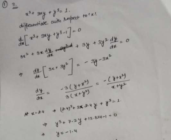
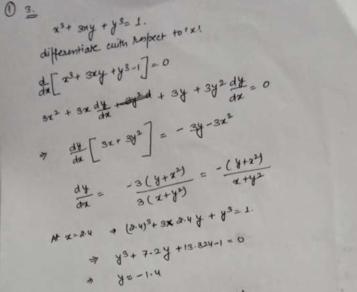
Question 1 3 3 1 3 3 yxyx  [x = 2.4] 4 ) 3 ...
Question 1 3 3 1 3 3 yxyx  [x = 2.4] 4 ) 3 y 1sin( ï...