Subjects
Online Tutoring
Homework Help
Homework Library
Tutors
Online Classes
More
Bookstore
Blog
Technical Tips
FAQ
Contact Us
Get Help Now
Home
Homework Library
Mathematics
Discrete Math
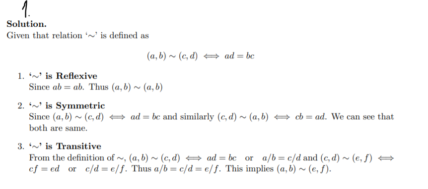
PROBLEM 1 Consider the set N × N of all ordered pairs of posit...
PROBLEM 1 Consider the set N × N of all ordered pairs of positive...