Subjects
Online Tutoring
Homework Help
Homework Library
Tutors
Online Classes
More
Bookstore
Blog
Technical Tips
FAQ
Contact Us
Get Help Now
Home
Homework Library
Mathematics
Discrete Math
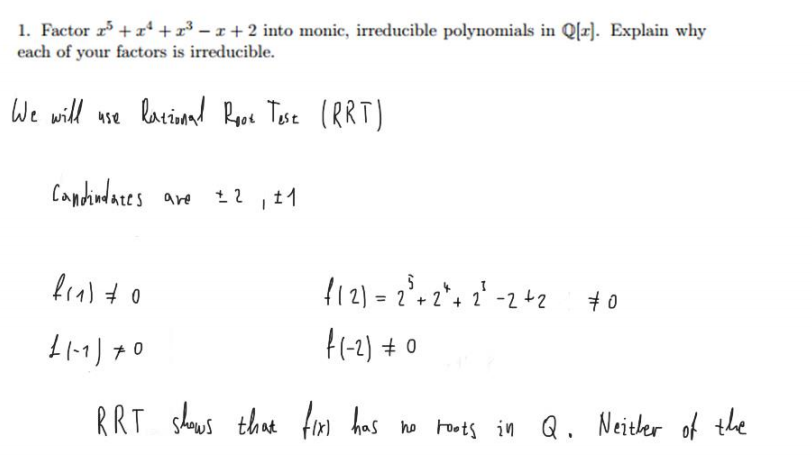
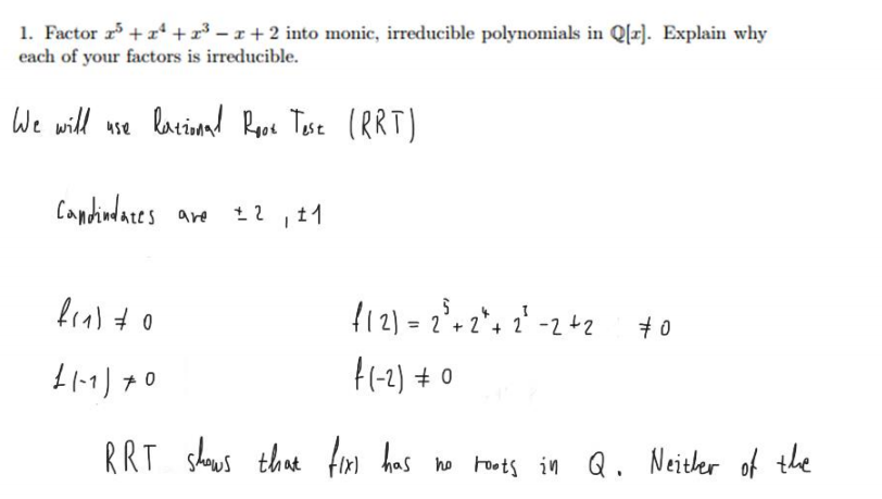
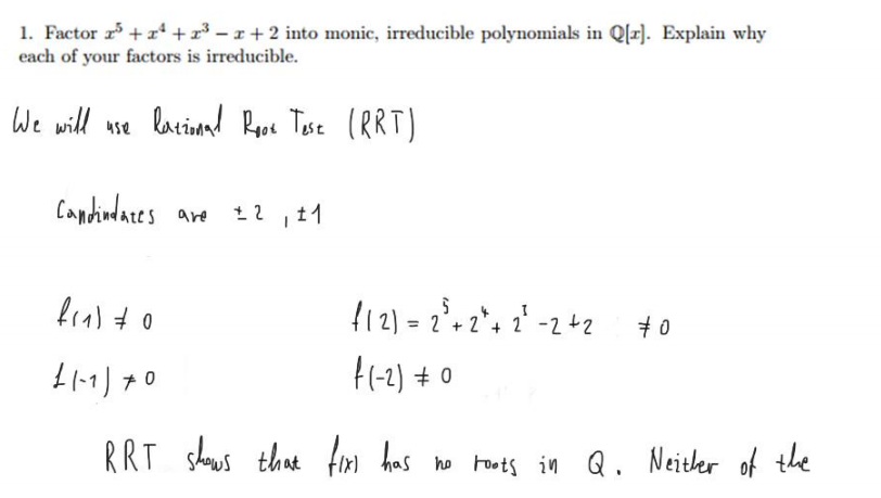
1. Factor xⵠ+xⴠ+ x³ - x + 2 into monic, irreducible ...
1. Factor xⵠ+xⴠ+ x³ - x + 2 into monic, irreducible polynomi...