Subjects
Online Tutoring
Homework Help
Homework Library
Tutors
Online Classes
More
Bookstore
Blog
Technical Tips
FAQ
Contact Us
Get Help Now
Home
Homework Library
Mathematics
Discrete Math
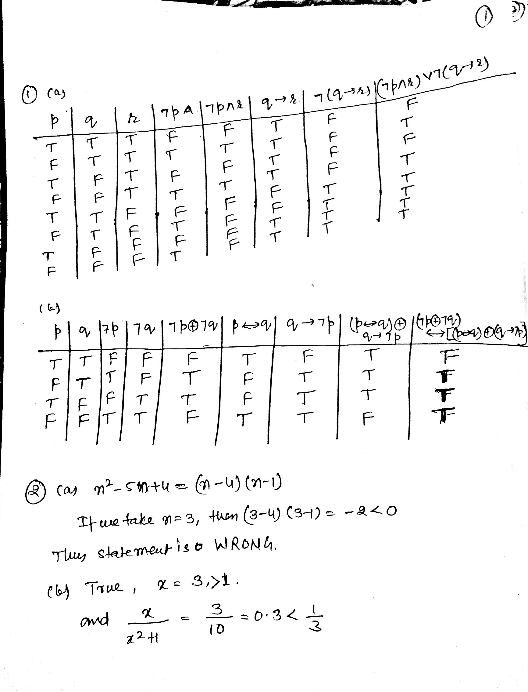
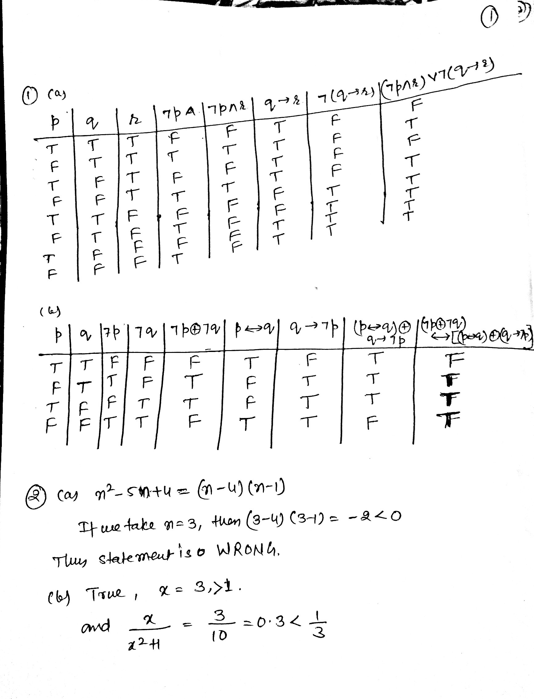
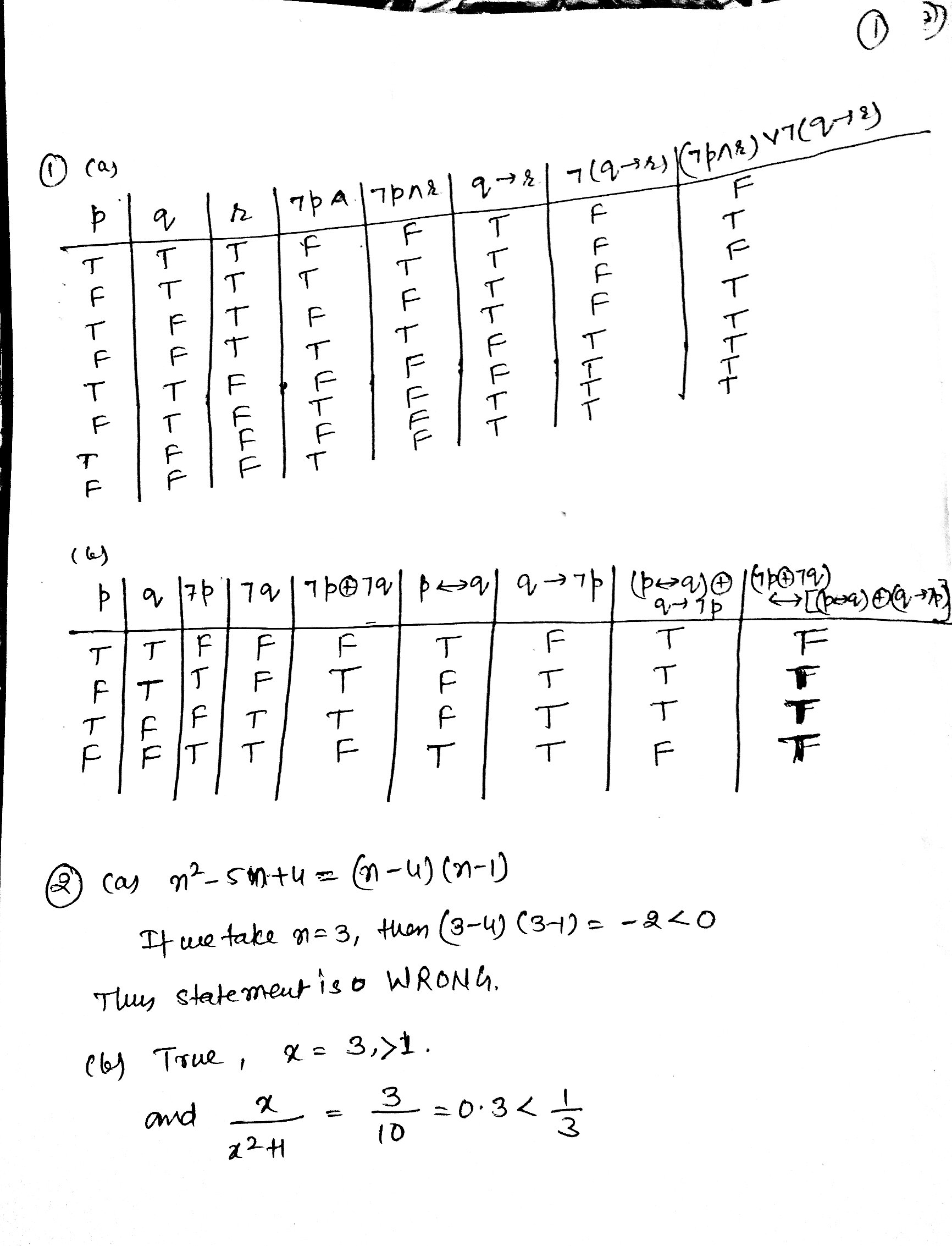
Problem 1 (10 points). Construct a truth table for each of these co...
Problem 1 (10 points). Construct a truth table for each of these co...