Subjects
Online Tutoring
Homework Help
Homework Library
Tutors
More
Bookstore
Blog
Technical Tips
FAQ
Contact Us
Get Help Now
Home
Homework Library
Mathematics
Discrete Math
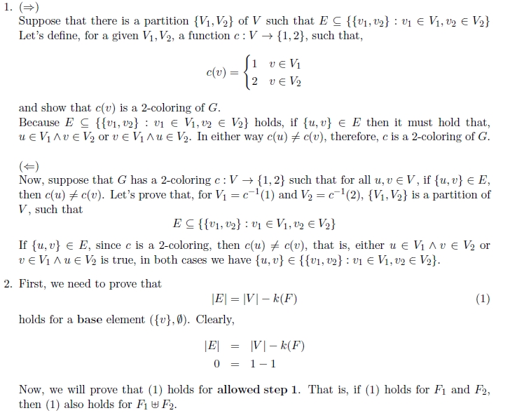
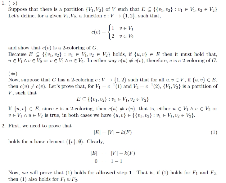
Definition 0.1. Let G (V,E) be graph. (That is. V s a set and EC {(...
Definition 0.1. Let G (V,E) be graph. (That is. V s a set and EC {(...