Subjects
Online Tutoring
Homework Help
Homework Library
Tutors
Online Classes
More
Bookstore
Blog
Technical Tips
FAQ
Contact Us
Get Help Now
Home
Homework Library
Mathematics
Dynamical Systems
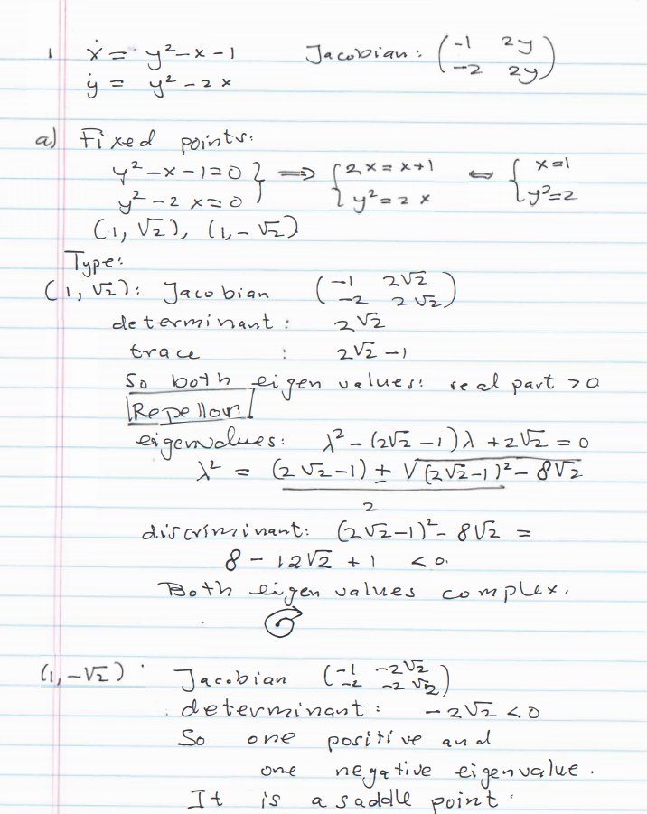
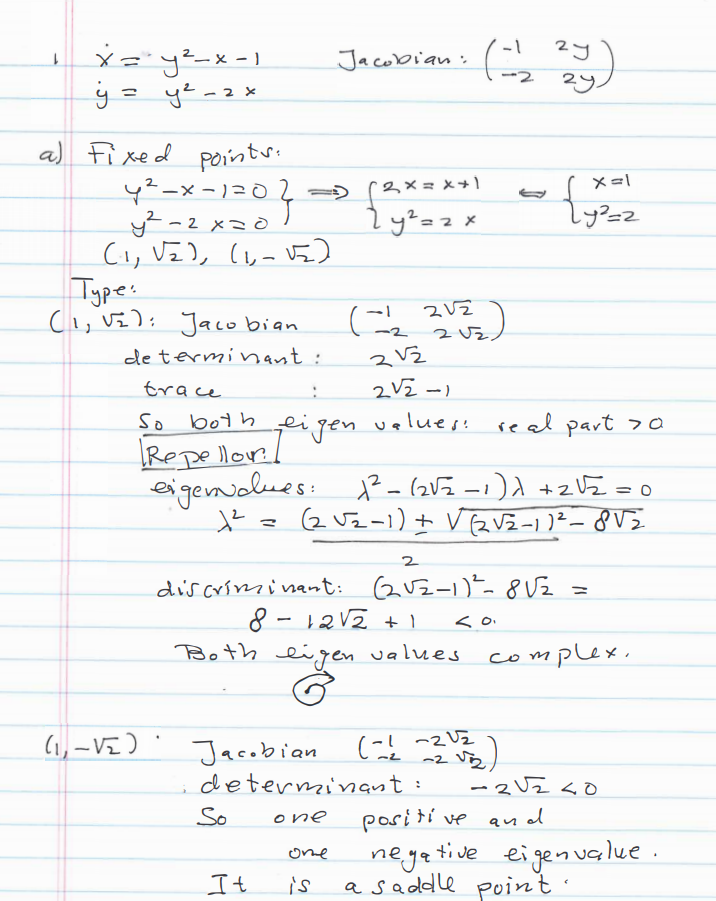
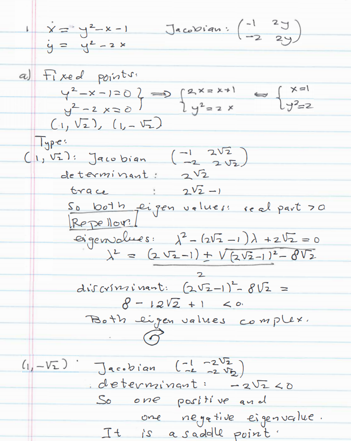
1.) Let x˙ = y 2 − x − 1 y˙ = y 2 − 2...
1.) Let x˙ = y 2 − x − 1 y˙ = y 2 − 2x a.) Find all fi...