Subjects
Online Tutoring
Homework Help
Homework Library
Tutors
Online Classes
More
Bookstore
Blog
Technical Tips
FAQ
Contact Us
Get Help Now
Home
Homework Library
Mathematics
Dynamical Systems
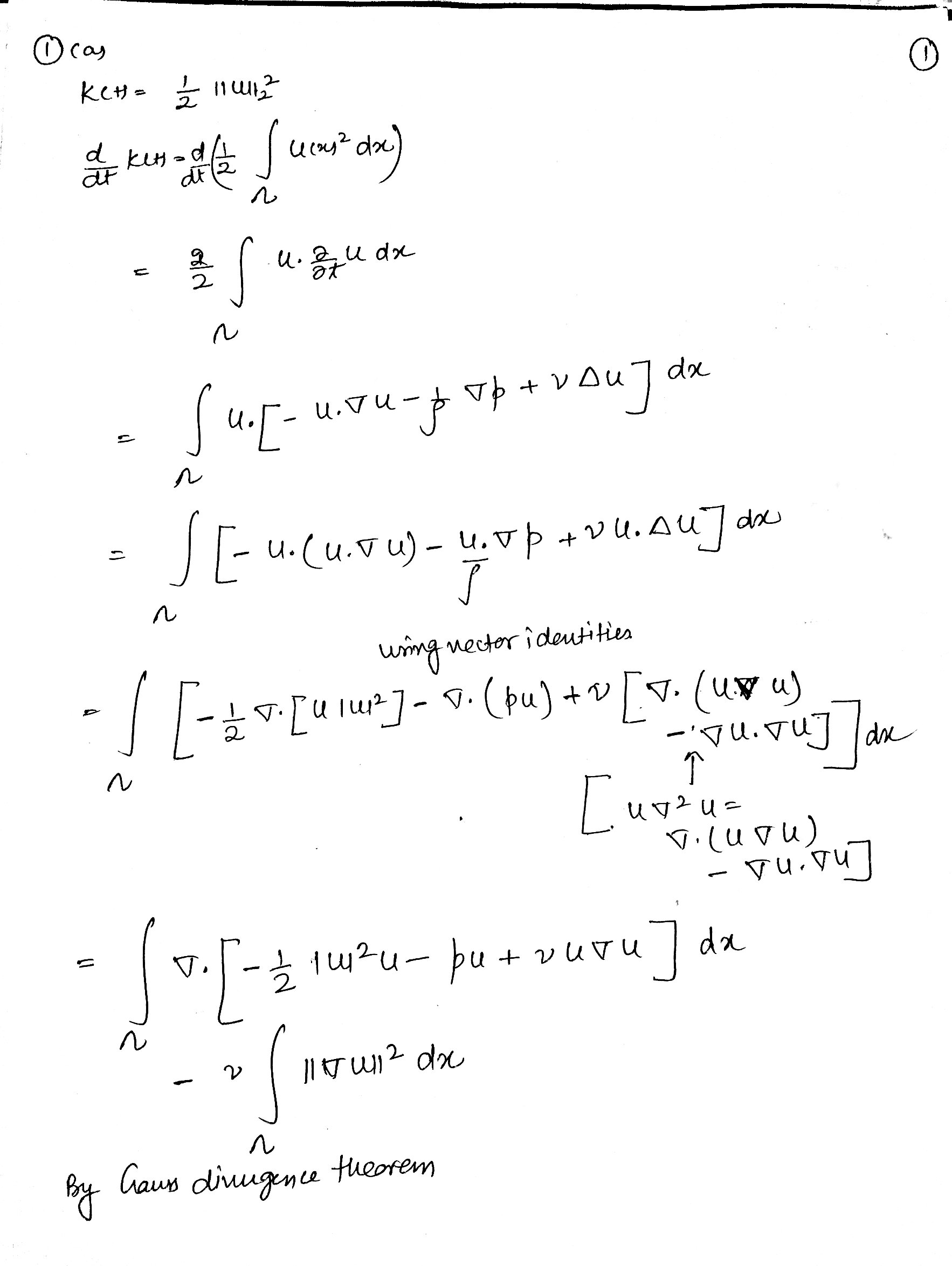
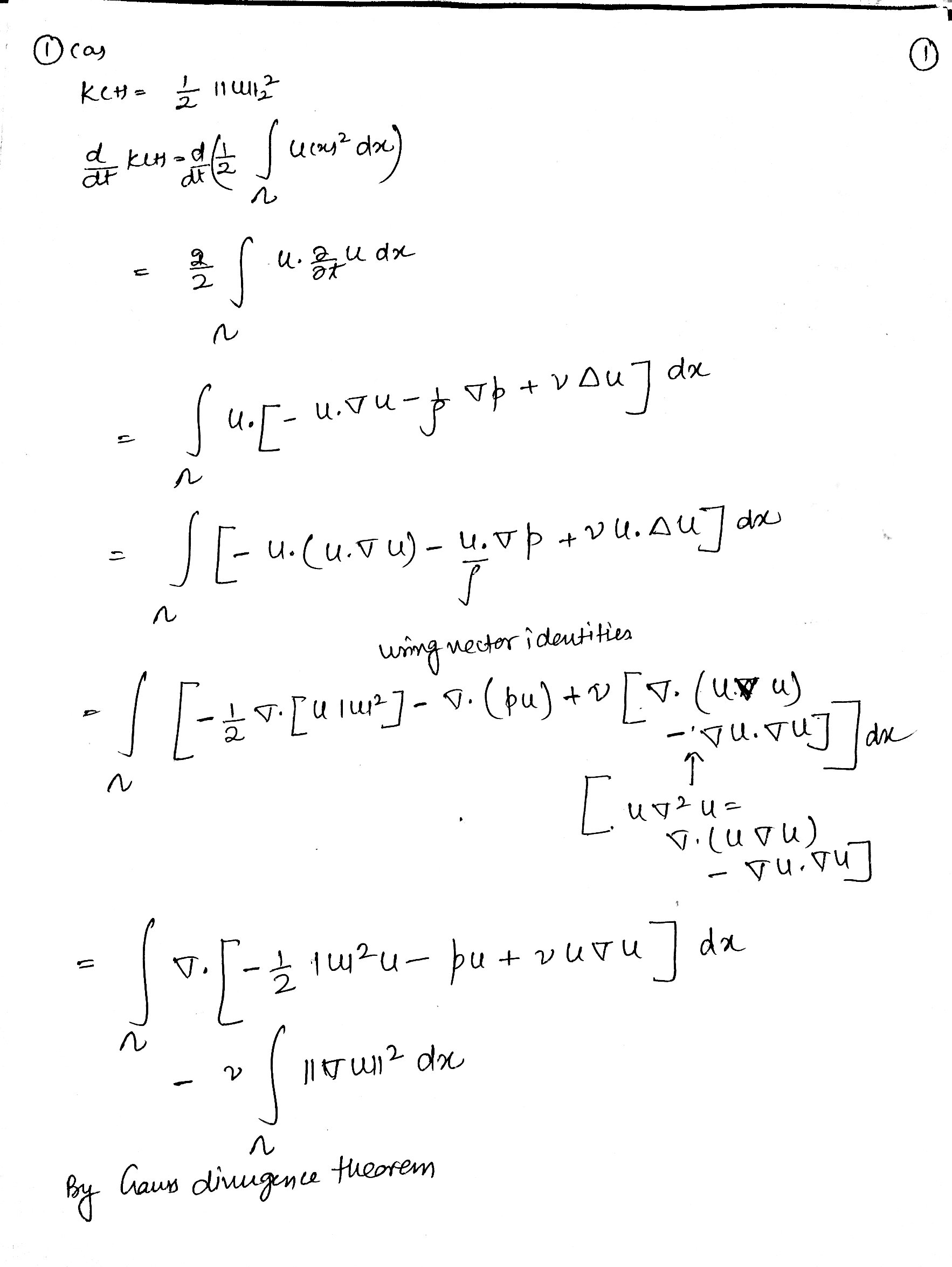
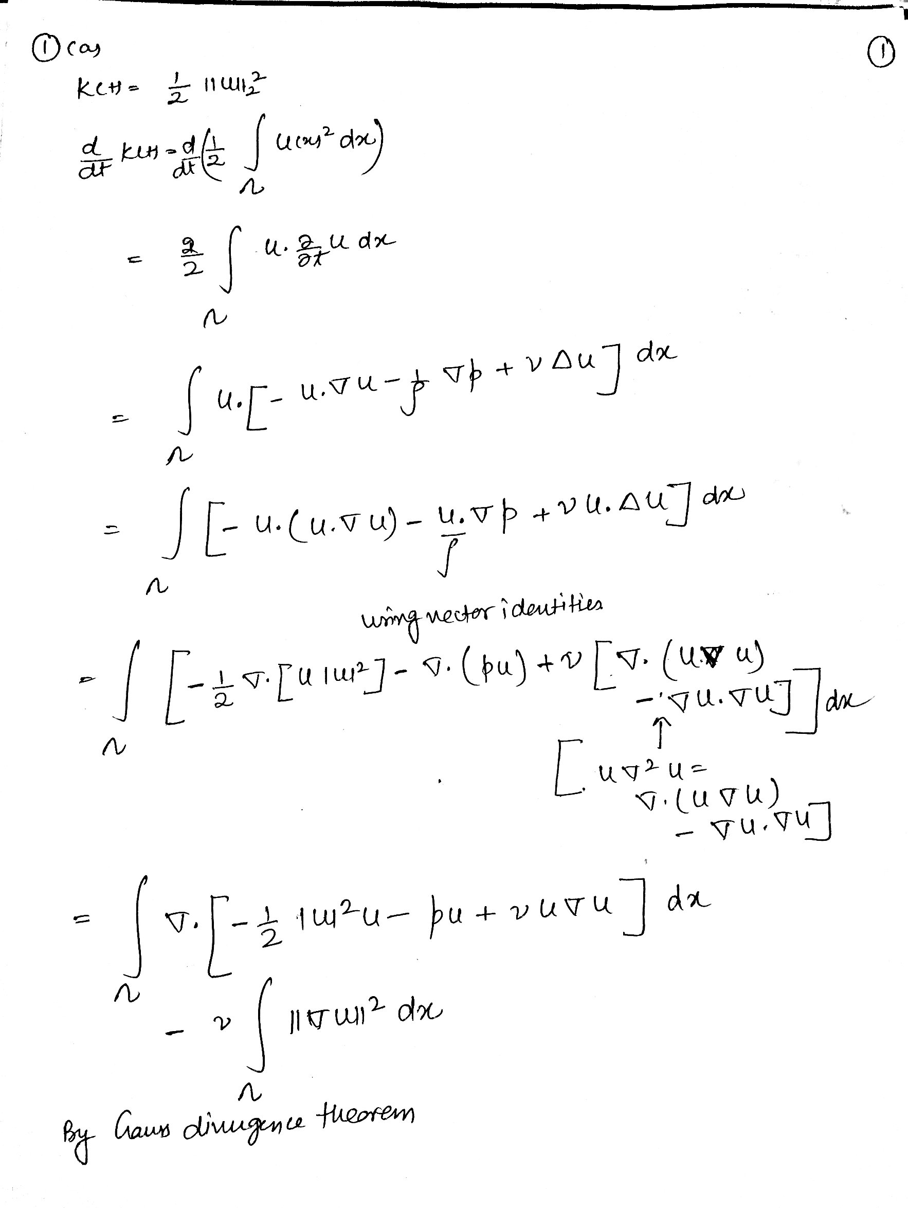
Let |x| denote the euclidean norm of a vector x € Rn, meaning...
Let |x| denote the euclidean norm of a vector x € Rn, meaning tha...