Subjects
Online Tutoring
Homework Help
Homework Library
Tutors
Online Classes
More
Bookstore
Blog
Technical Tips
FAQ
Contact Us
Get Help Now
Home
Homework Library
Mathematics
Game Theory
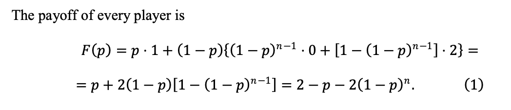
Consider the following n player game. Each player decides whether t...
Consider the following n player game. Each player decides whether t...