Subjects
Online Tutoring
Homework Help
Homework Library
Tutors
More
Bookstore
Blog
Technical Tips
FAQ
Contact Us
Get Help Now
Home
Homework Library
Mathematics
Game Theory
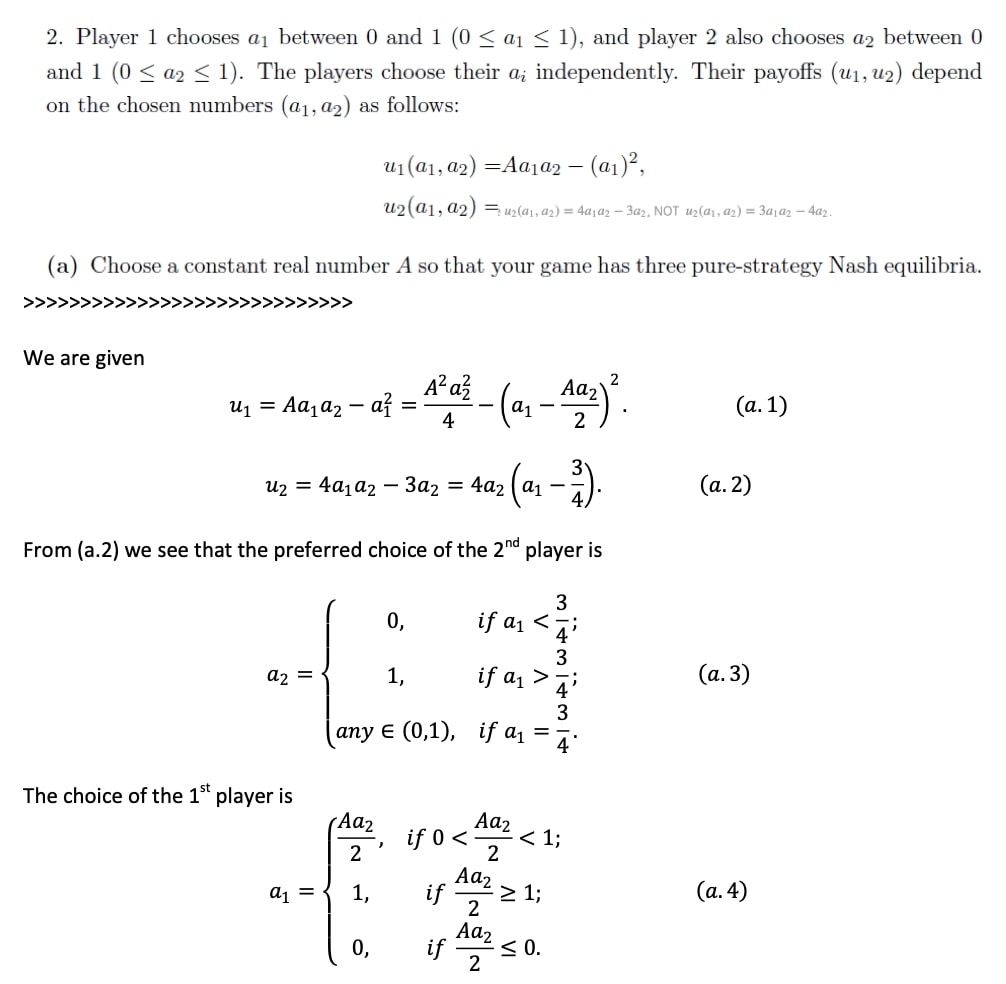
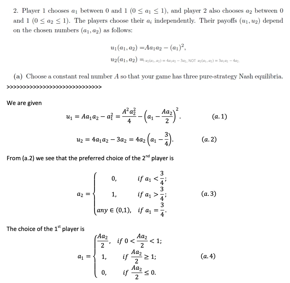
2. Player 1 chooses a1 between 0 and 1 (0 a1 1), and player 2 also ...
2. Player 1 chooses a1 between 0 and 1 (0 a1 1), and player 2 also...