Subjects
Online Tutoring
Homework Help
Homework Library
Tutors
Online Classes
More
Bookstore
Blog
Technical Tips
FAQ
Contact Us
Get Help Now
Home
Homework Library
Mathematics
General Statistics
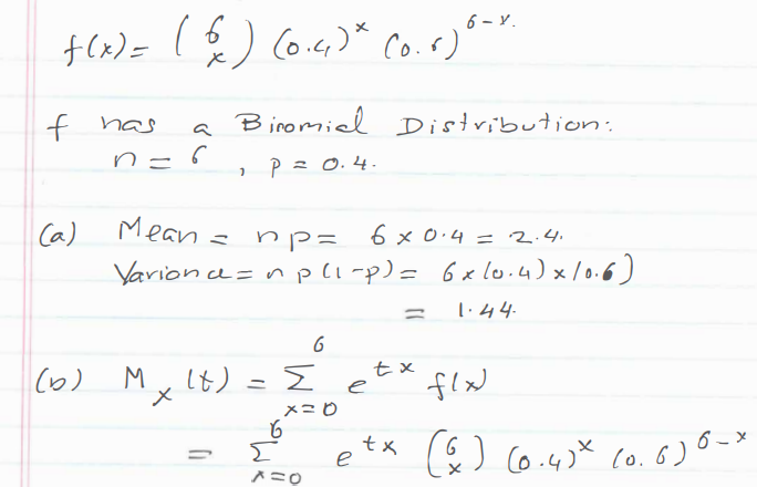
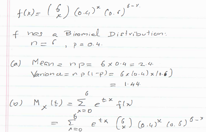
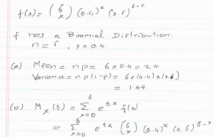
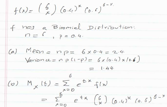
If f(x) = (â¶â‚“) (0.4)Ë£ (0.6)â¶â»Ë£, x = 0, ...
If f(x) = (â¶â‚“) (0.4)Ë£ (0.6)â¶â»Ë£, x = 0, 1, ... 6 (a) Find...