Subjects
Online Tutoring
Homework Help
Homework Library
Tutors
More
Bookstore
Blog
Technical Tips
FAQ
Contact Us
Get Help Now
Home
Homework Library
Mathematics
Geometry
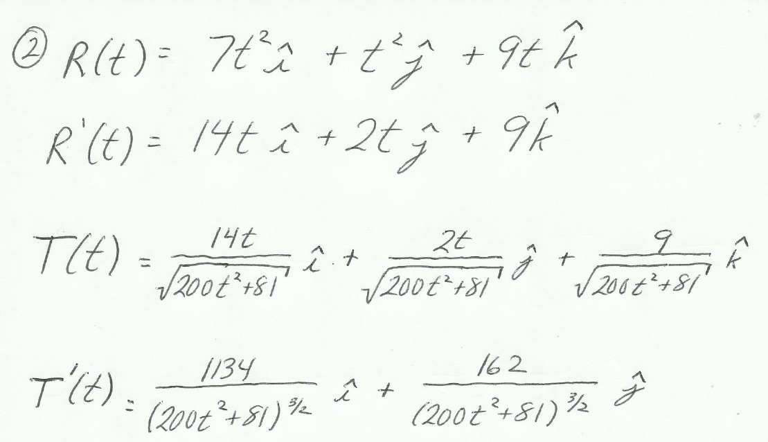
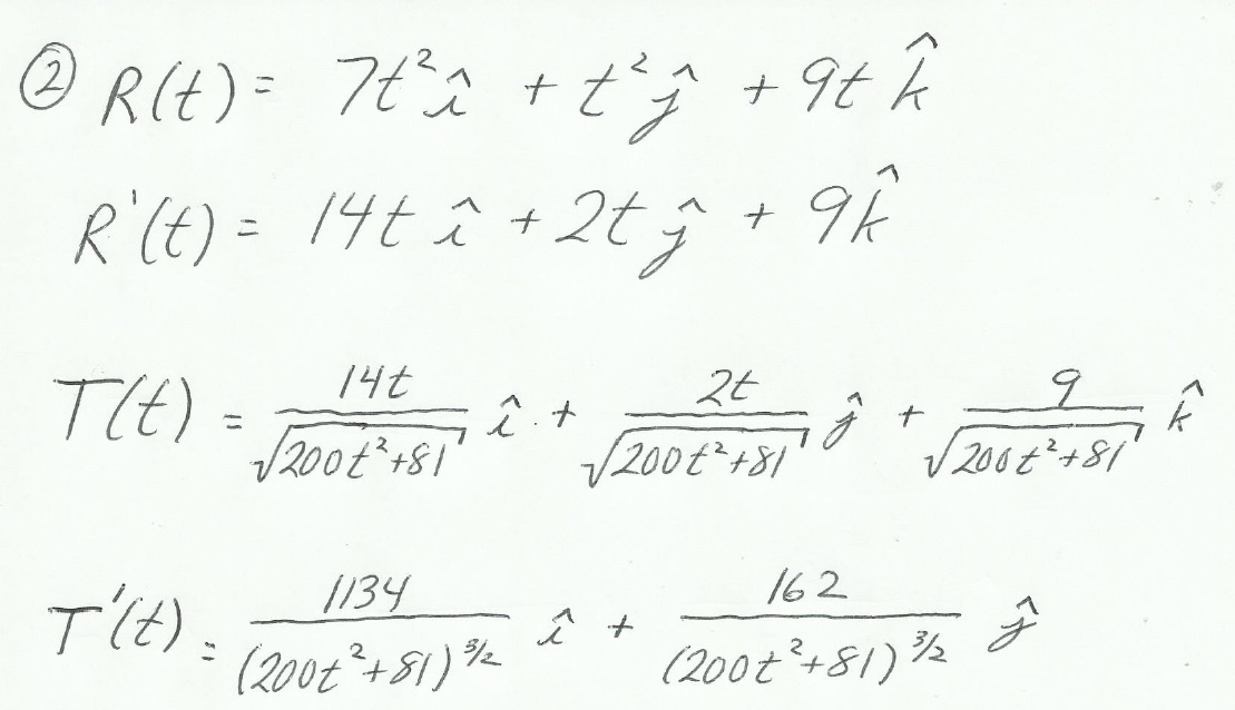
2)Let 2 be a position vector of a traveling particle. a)Find the ...
2)Let 2 be a position vector of a traveling particle. a)Find the...