Subjects
Online Tutoring
Homework Help
Homework Library
Tutors
Online Classes
More
Bookstore
Blog
Technical Tips
FAQ
Contact Us
Get Help Now
Home
Homework Library
Mathematics
Geometry
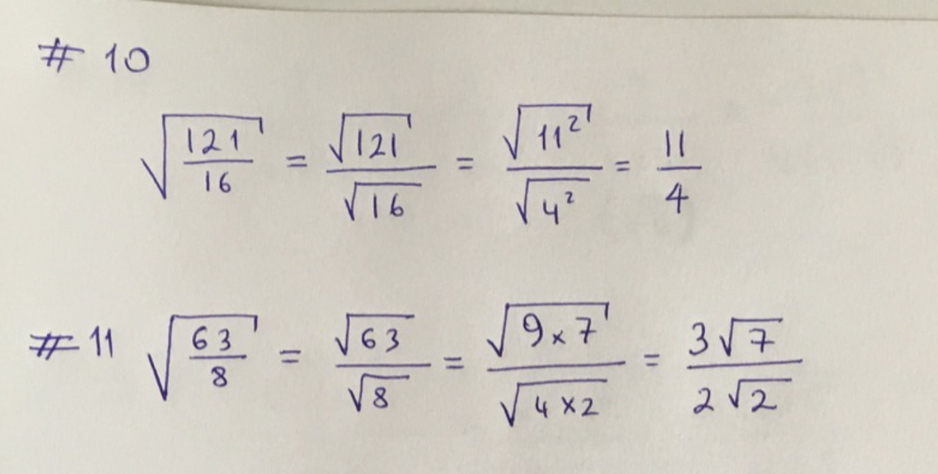
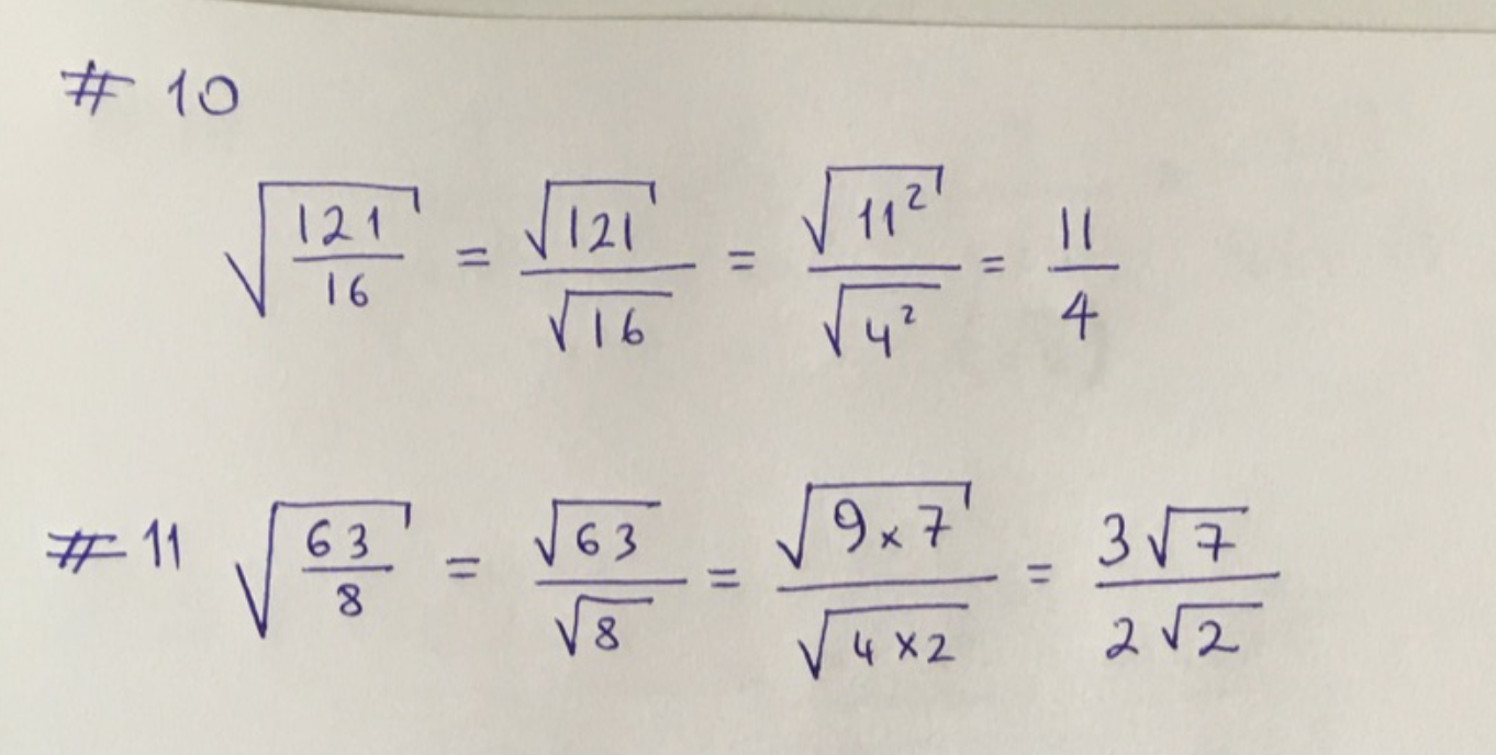
121 10. 16 63 288 11. 12. 8 147 108 13. 10p3 14. 27 24...
121 10. 16 63 288 11. 12. 8 147 108 13. 10p3 14. 27 24...