Subjects
Online Tutoring
Homework Help
Homework Library
Tutors
Online Classes
More
Bookstore
Blog
Technical Tips
FAQ
Contact Us
Get Help Now
Home
Homework Library
Mathematics
Linear Algebra
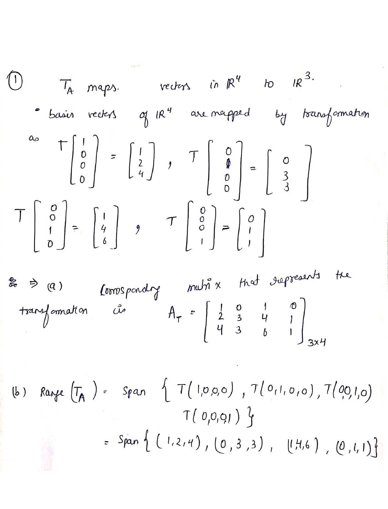
1 A linear transformation, TA. maps vectors in R 4 to vectors in R3...
1 A linear transformation, TA. maps vectors in R 4 to vectors in R3...