Subjects
Online Tutoring
Homework Help
Homework Library
Tutors
Online Classes
More
Bookstore
Blog
Technical Tips
FAQ
Contact Us
Get Help Now
Home
Homework Library
Mathematics
Linear Algebra
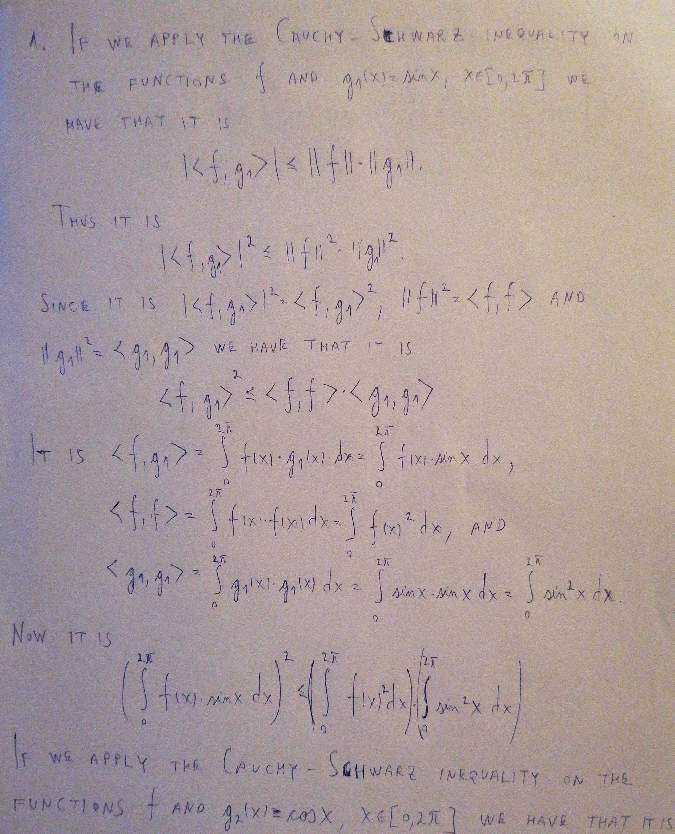
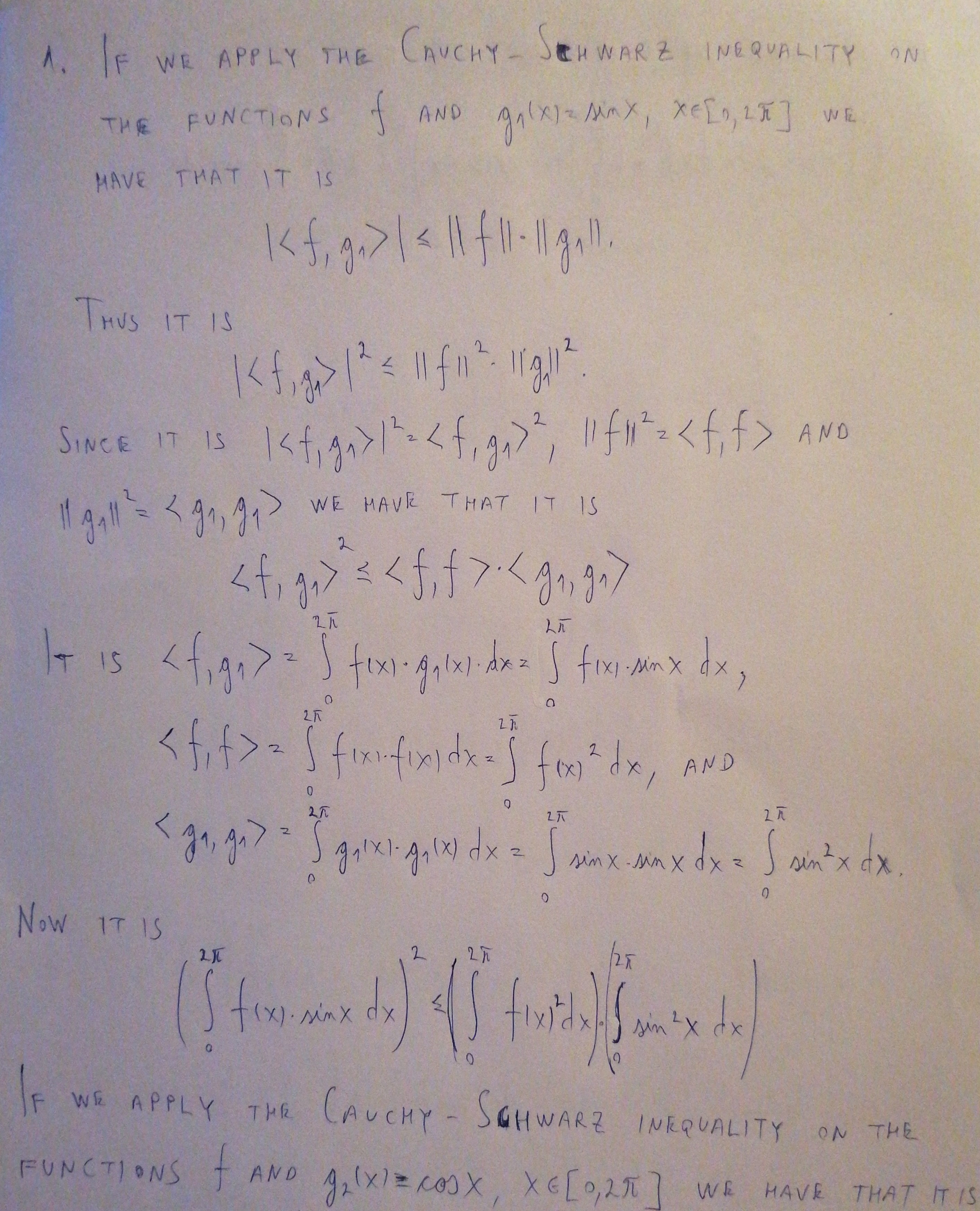
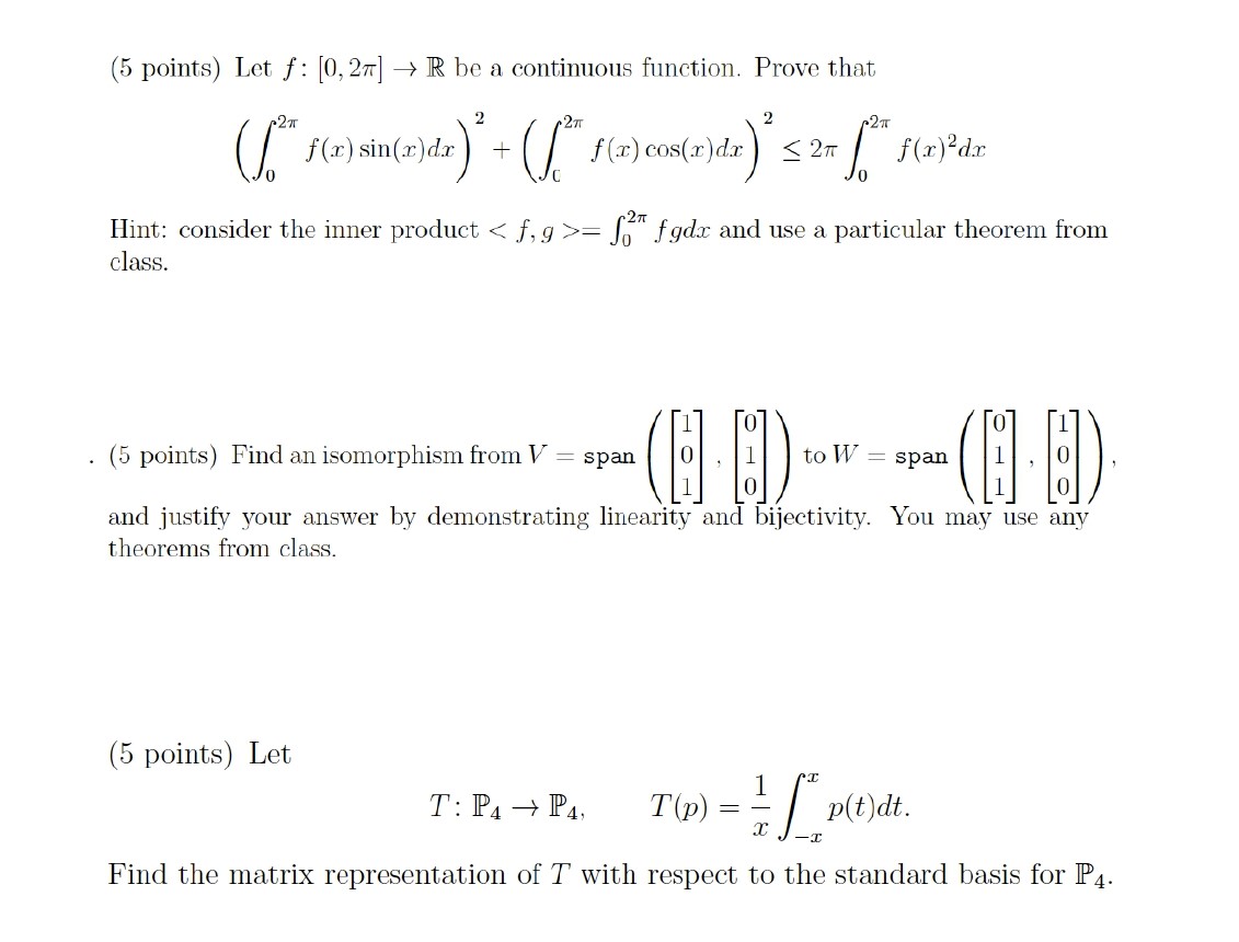
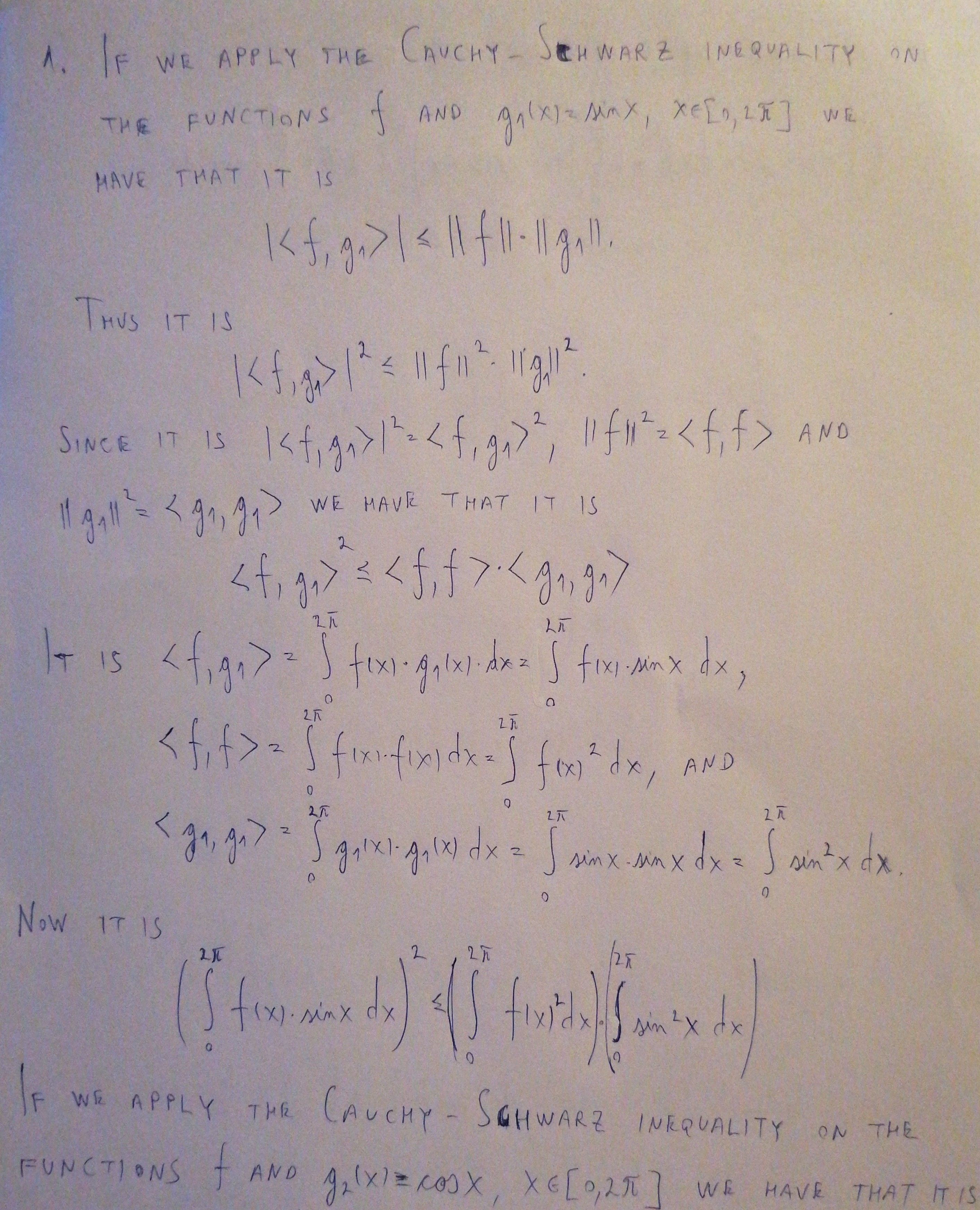
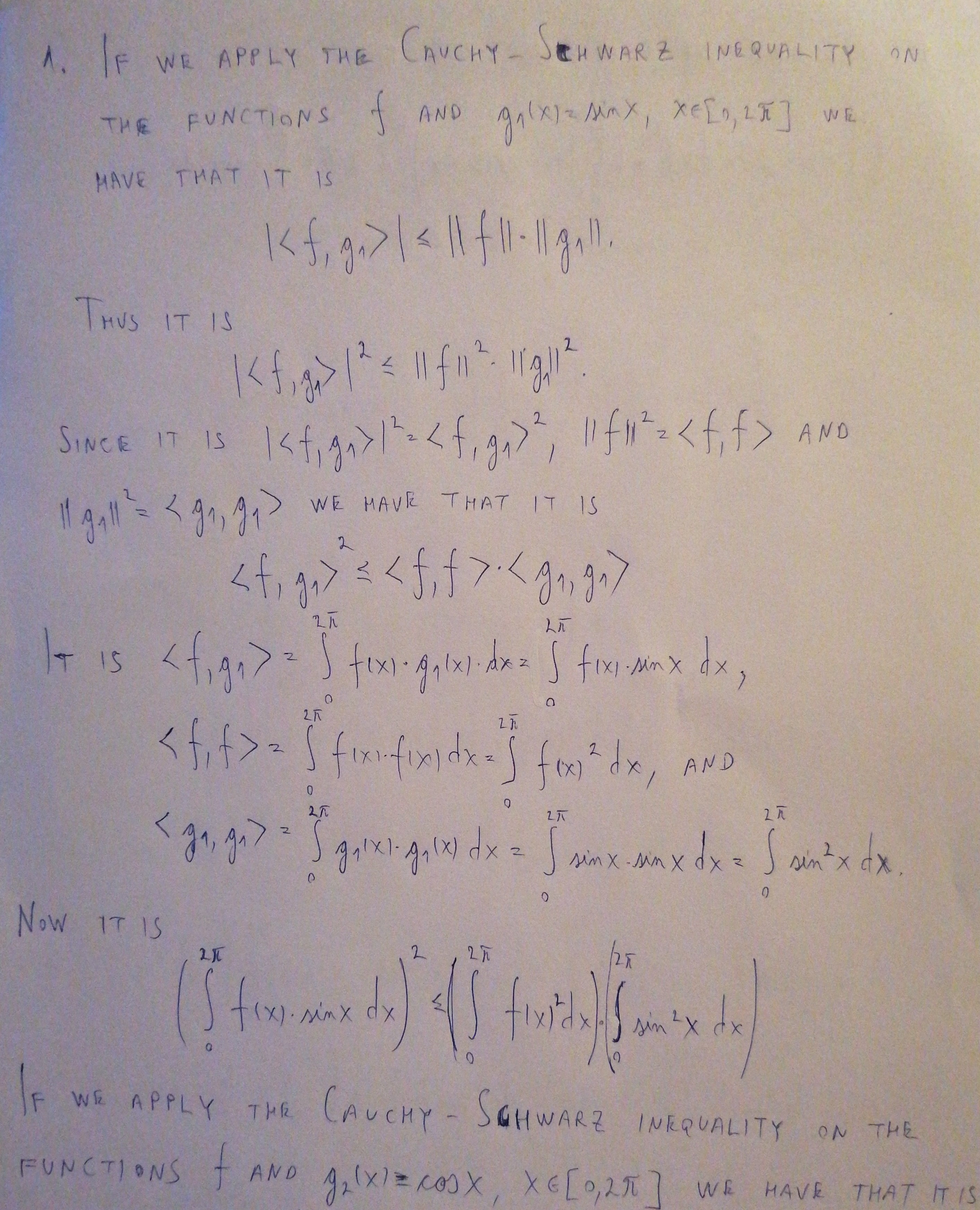
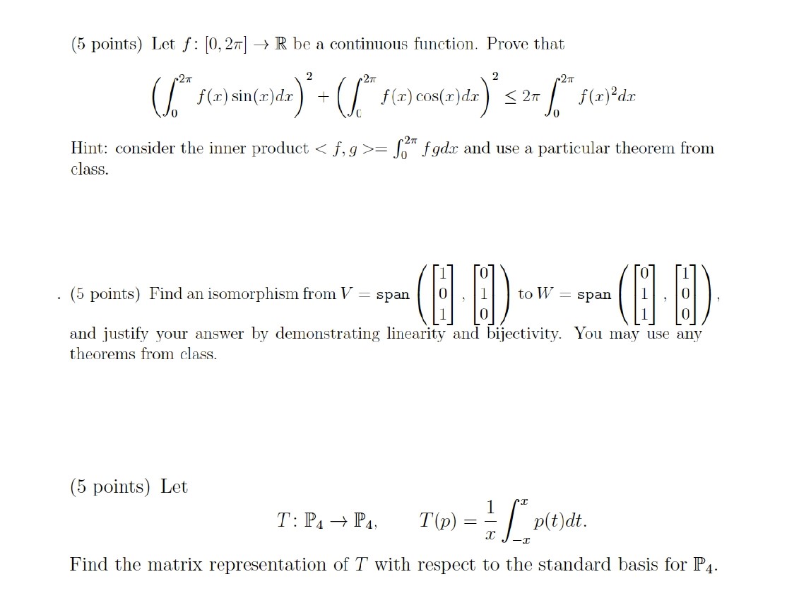
(5 points) Let [0,2]] R be a continuous function. Prove that Hint:...
(5 points) Let [0,2]] R be a continuous function. Prove that Hint:...