Subjects
Online Tutoring
Homework Help
Homework Library
Tutors
Online Classes
More
Bookstore
Blog
Technical Tips
FAQ
Contact Us
Get Help Now
Home
Homework Library
Mathematics
Linear Algebra
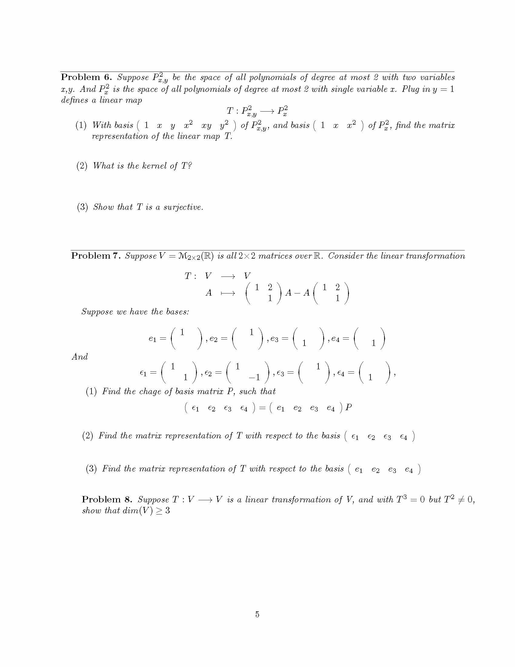
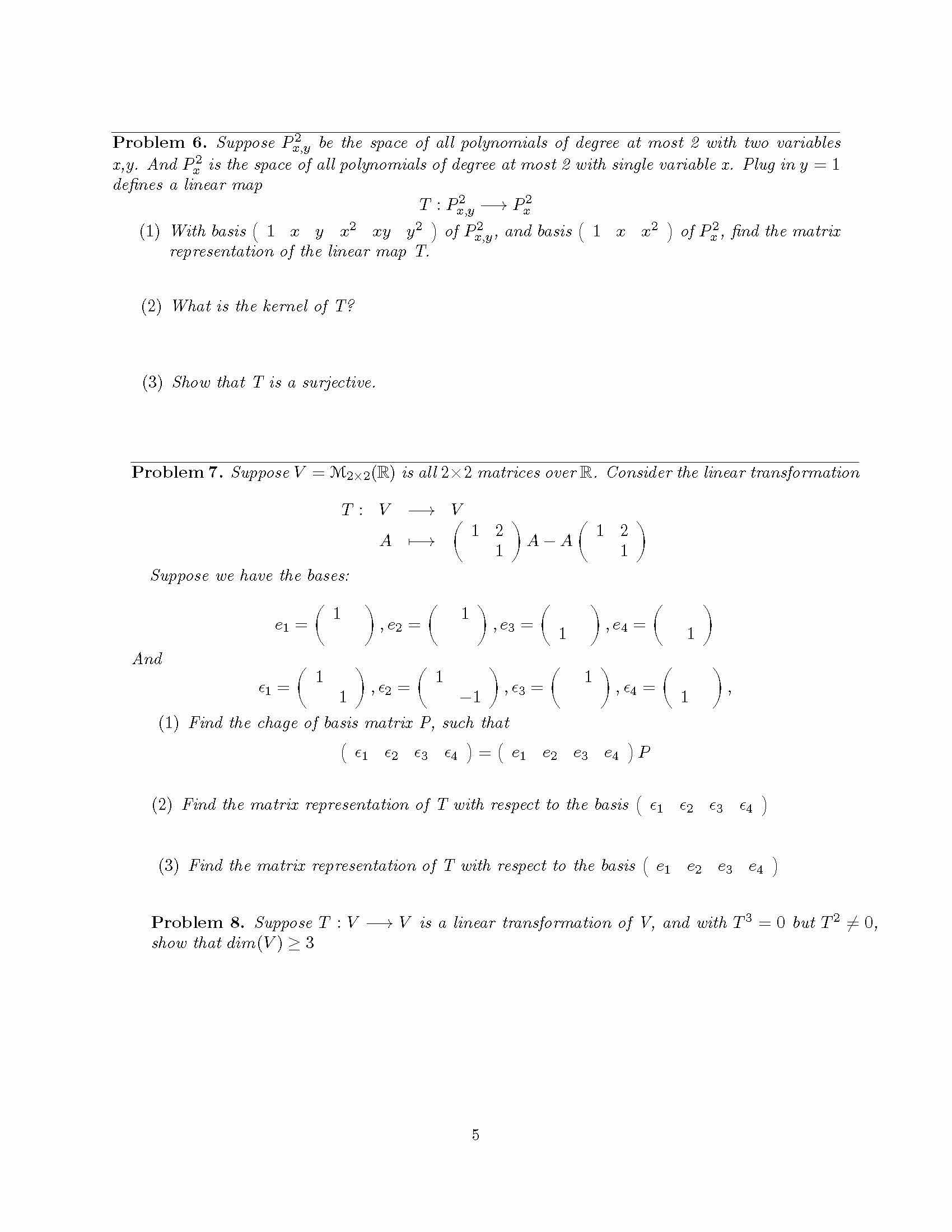
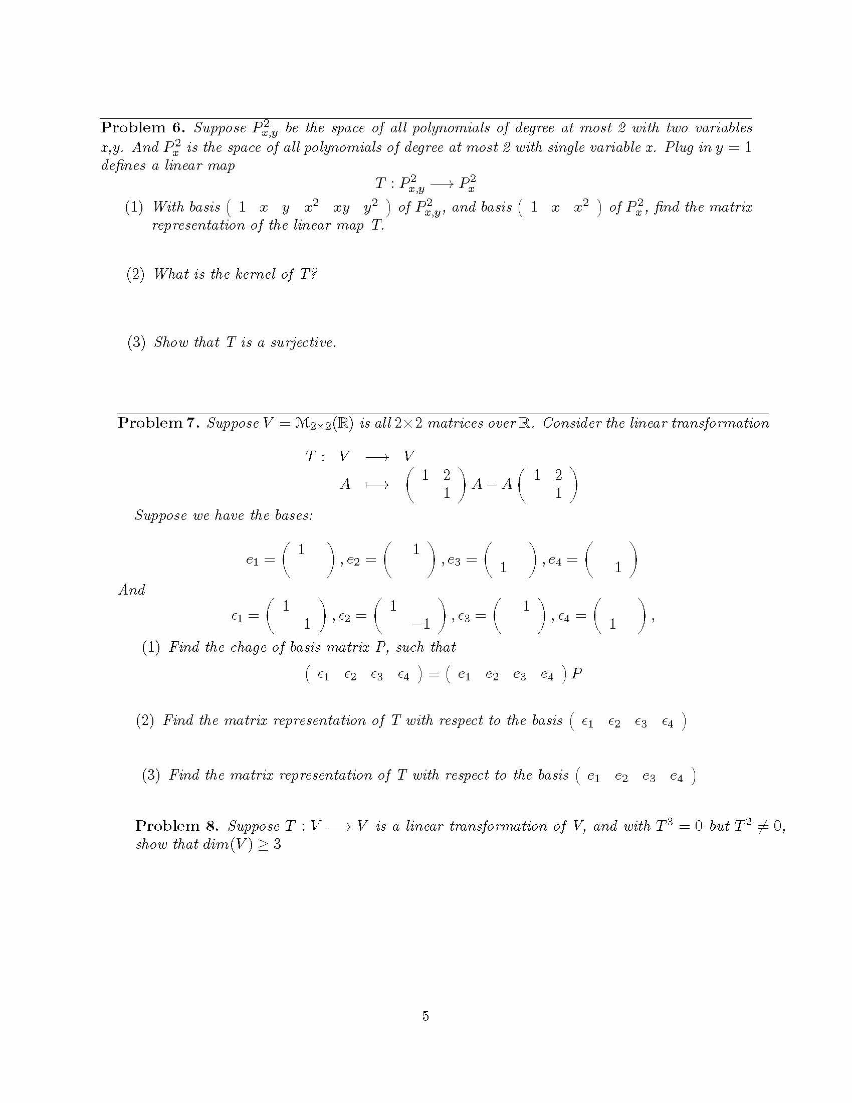
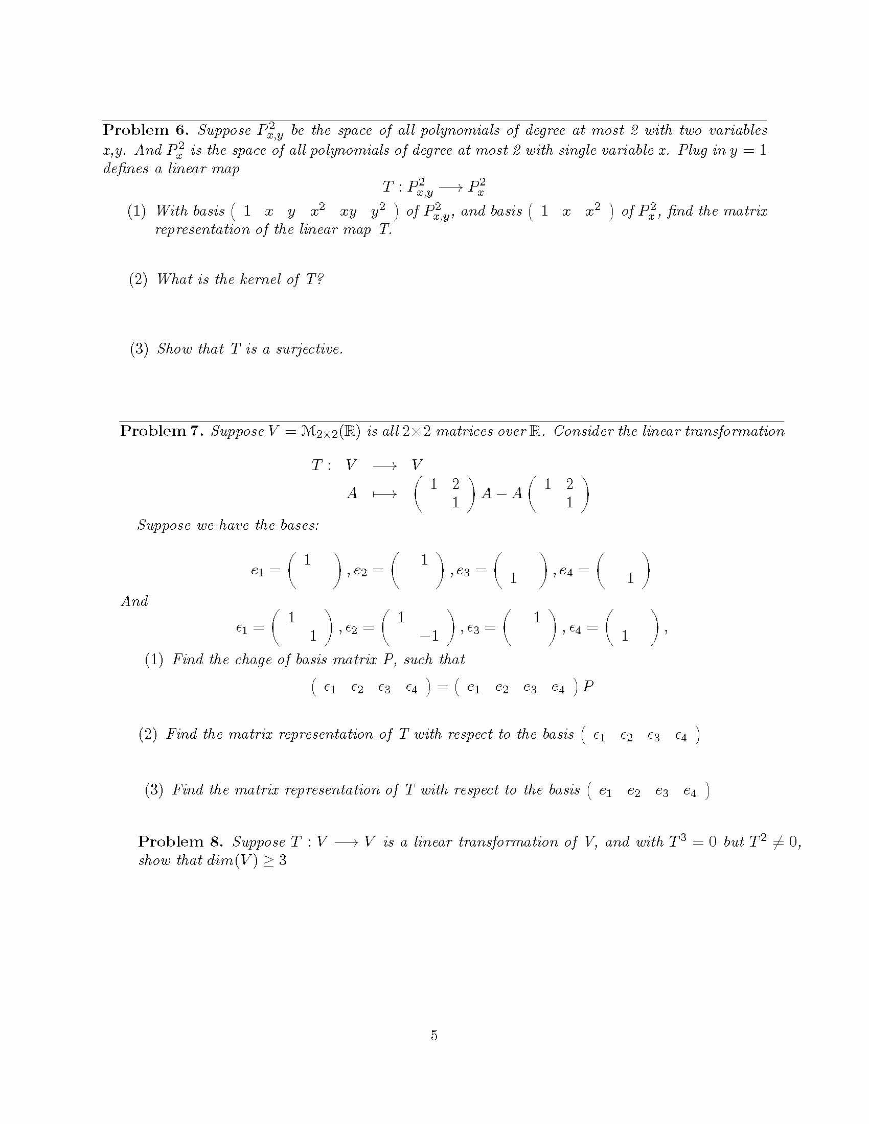
Linear Algebra Homeowrk 7 Problem 1. Suppose V is a linear space o...
Linear Algebra Homeowrk 7 Problem 1. Suppose V is a linear space o...