Subjects
Online Tutoring
Homework Help
Homework Library
Tutors
Online Classes
More
Bookstore
Blog
Technical Tips
FAQ
Contact Us
Get Help Now
Home
Homework Library
Mathematics
Linear Algebra
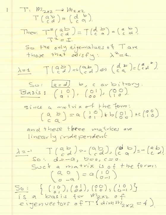
1. Let V = M2×2(R), and let T a b c d = d b c a b...
1. Let V = M2×2(R), and let T a b c d = d b c a be a...