Subjects
Online Tutoring
Homework Help
Homework Library
Tutors
Online Classes
More
Bookstore
Blog
Technical Tips
FAQ
Contact Us
Get Help Now
Home
Homework Library
Mathematics
Linear Algebra
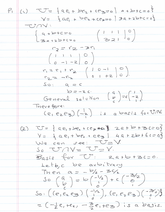
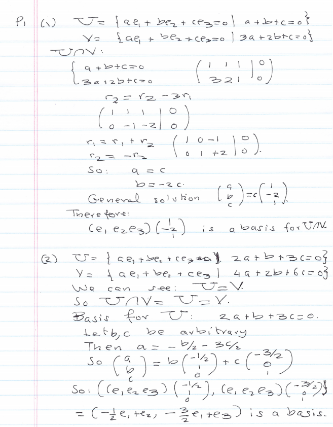
Problem 1. Suppose V is a linear space over R, with basis e1 e2 e3...
Problem 1. Suppose V is a linear space over R, with basis e1 e2 e3...