Subjects
Online Tutoring
Homework Help
Homework Library
Tutors
Online Classes
More
Bookstore
Blog
Technical Tips
FAQ
Contact Us
Get Help Now
Home
Homework Library
Mathematics
Linear Algebra
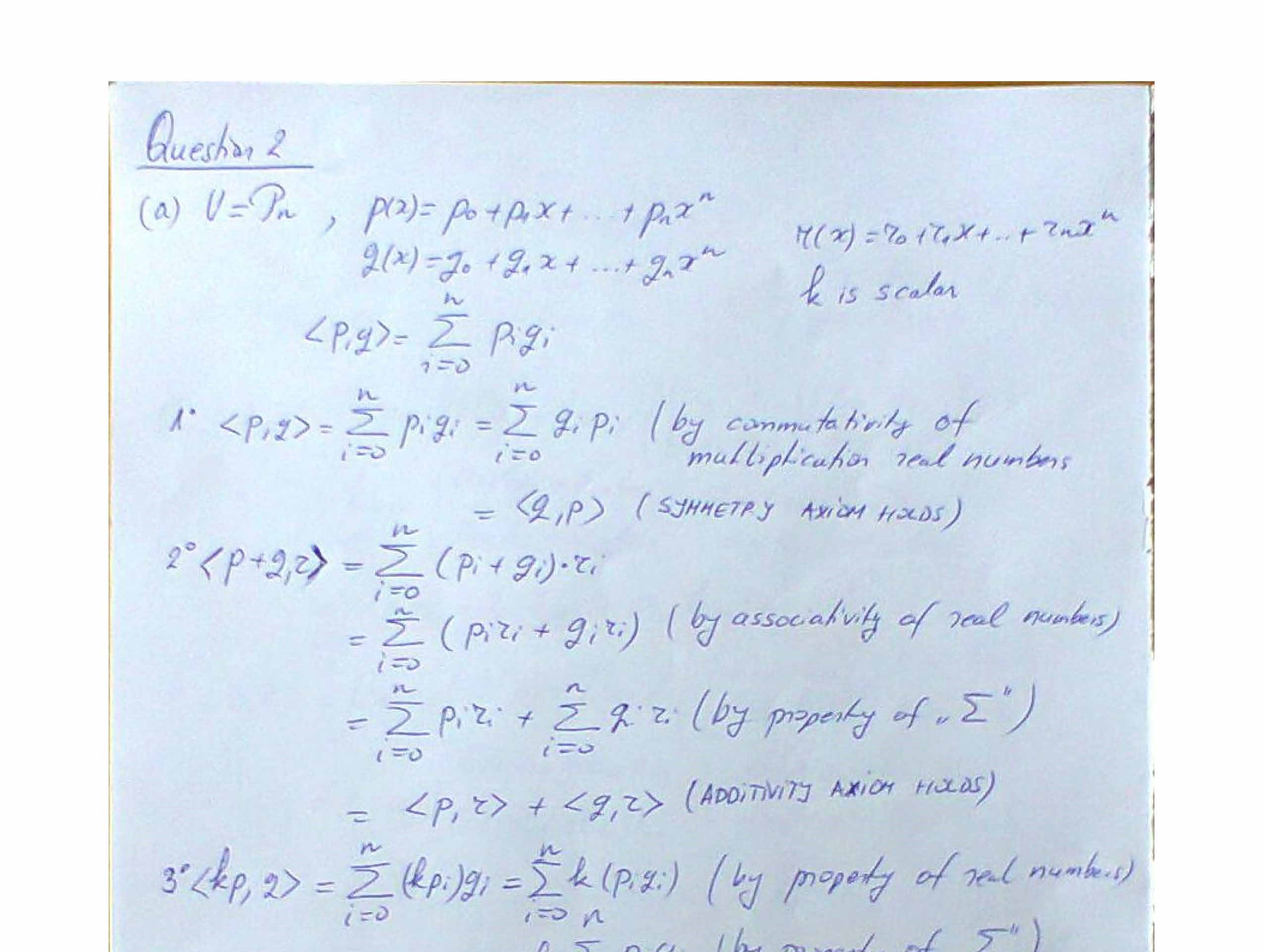
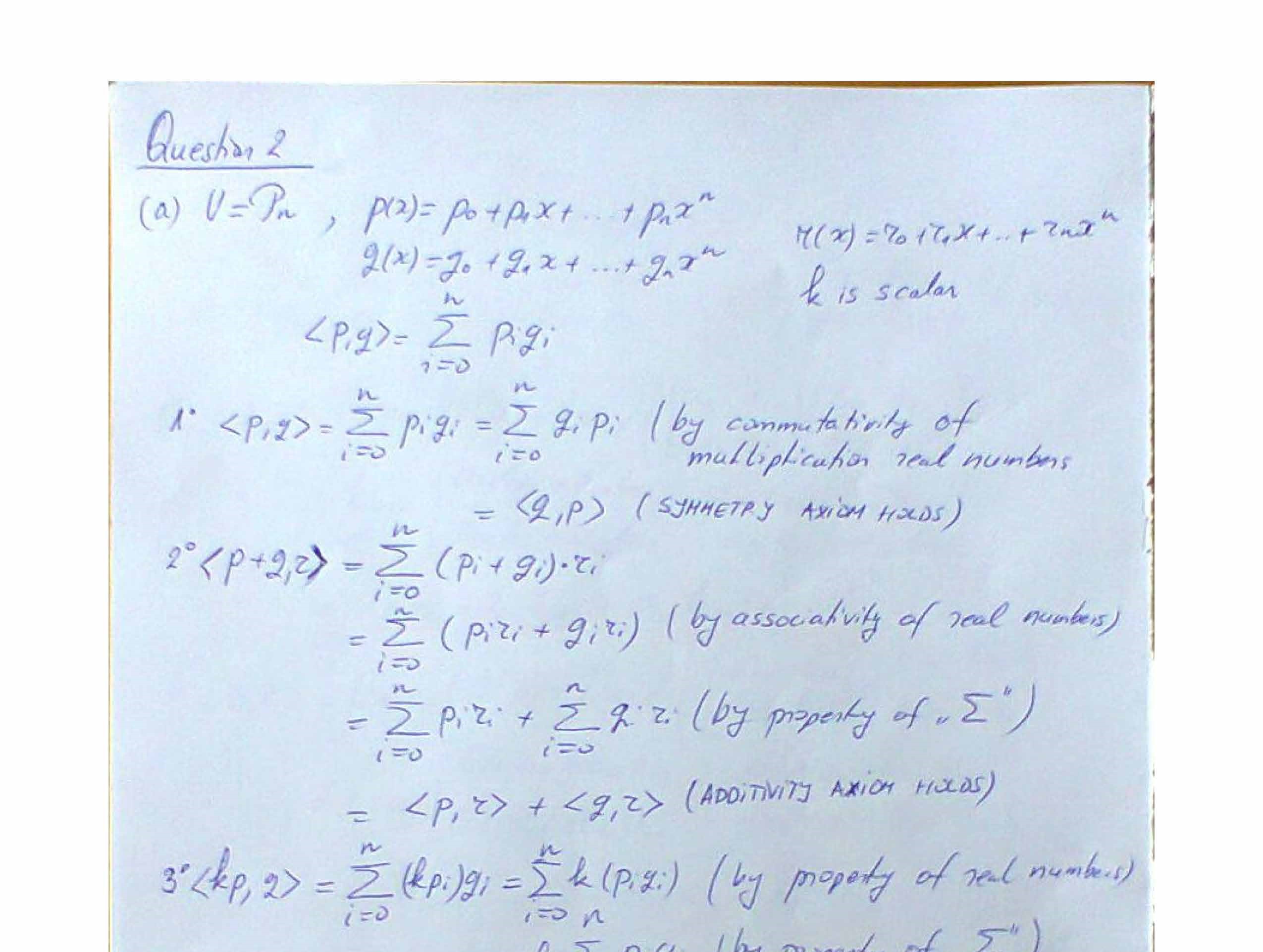
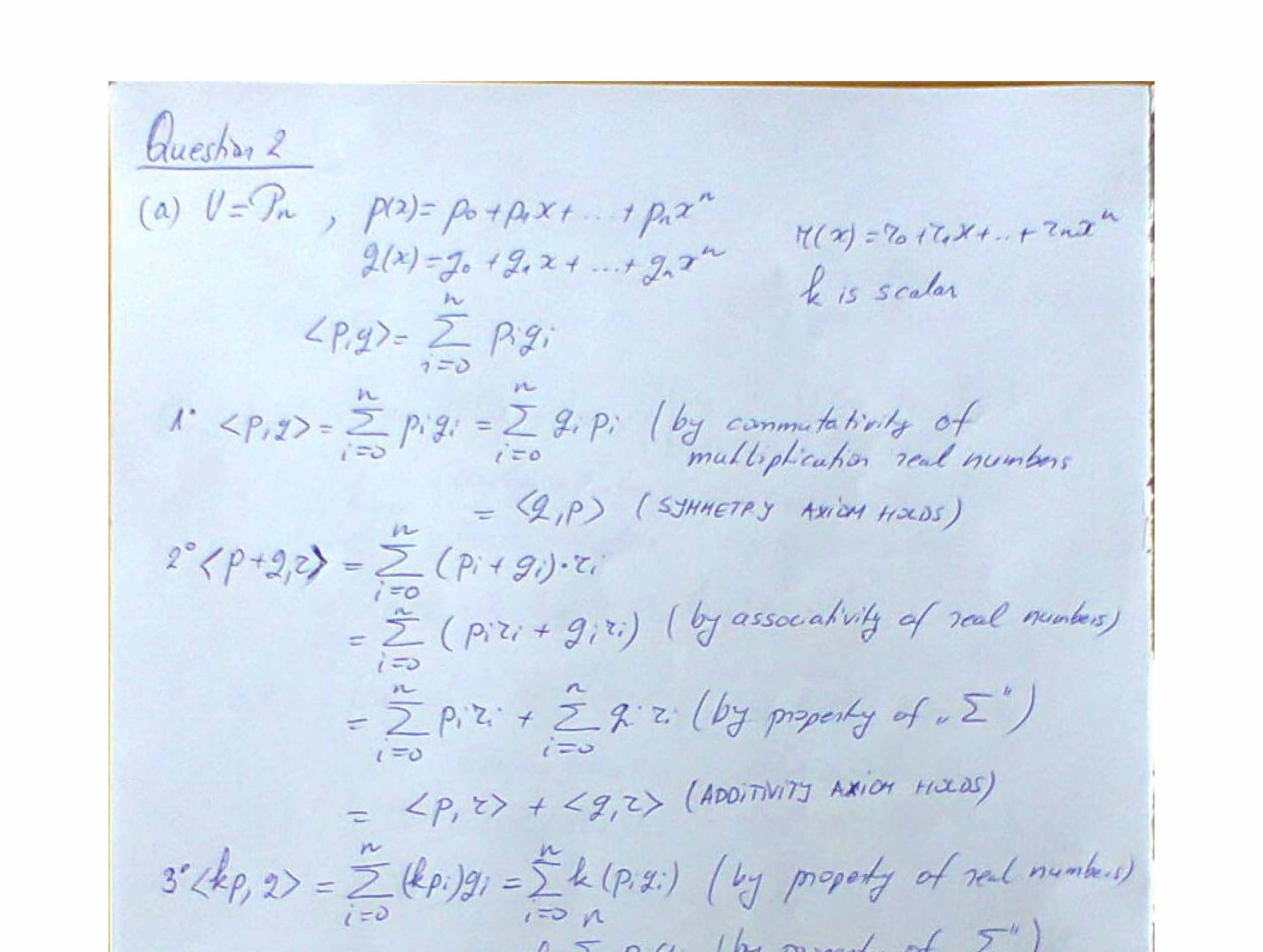
Question 1 Let to be a fixed vector in Rn and define S = {u | il i...
Question 1 Let to be a fixed vector in Rn and define S = {u | il i...