Subjects
Online Tutoring
Homework Help
Homework Library
Tutors
Online Classes
More
Bookstore
Blog
Technical Tips
FAQ
Contact Us
Get Help Now
Home
Homework Library
Mathematics
Linear Algebra
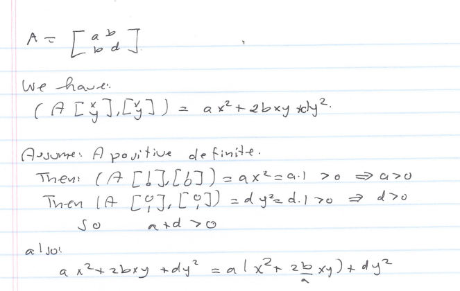
Show that a symmetric 2 x 2 matrix A is positive definite if and on...
Show that a symmetric 2 x 2 matrix A is positive definite if and on...