Subjects
Online Tutoring
Homework Help
Homework Library
Tutors
Online Classes
More
Bookstore
Blog
Technical Tips
FAQ
Contact Us
Get Help Now
Home
Homework Library
Mathematics
Linear Algebra
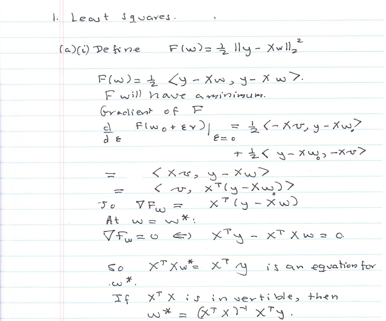
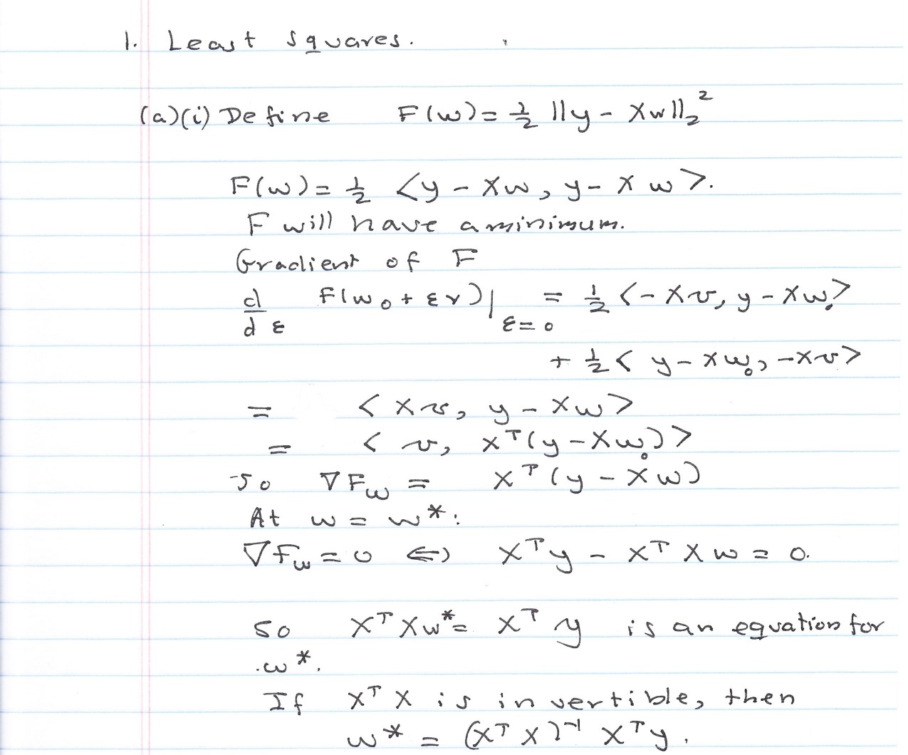
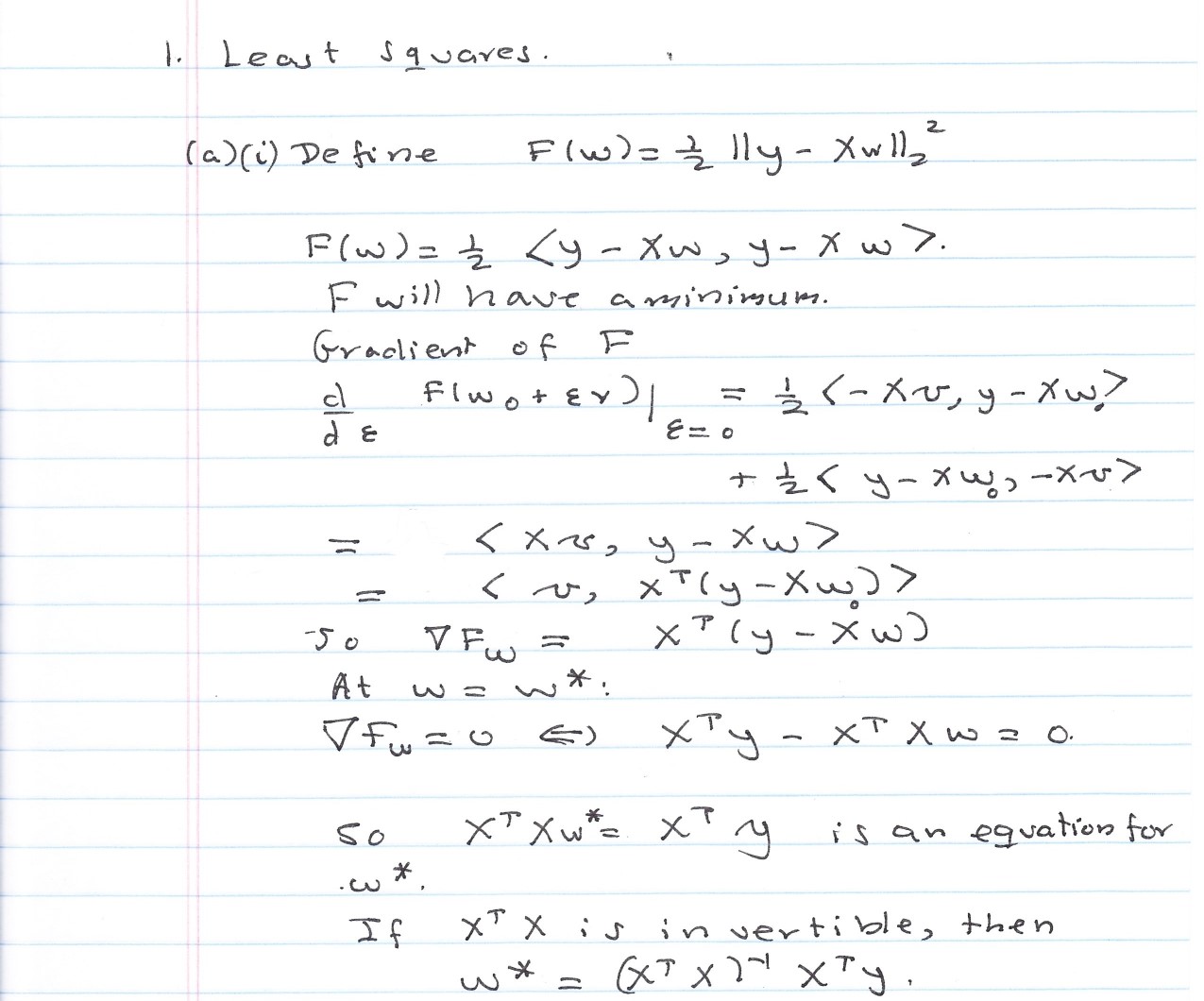
Problem#1 Least Squares Given data matrix X E Rnxp and target vect...
Problem#1 Least Squares Given data matrix X E Rnxp and target vect...