Subjects
Online Tutoring
Homework Help
Homework Library
Tutors
Online Classes
More
Bookstore
Blog
Technical Tips
FAQ
Contact Us
Get Help Now
Home
Homework Library
Mathematics
Linear Algebra
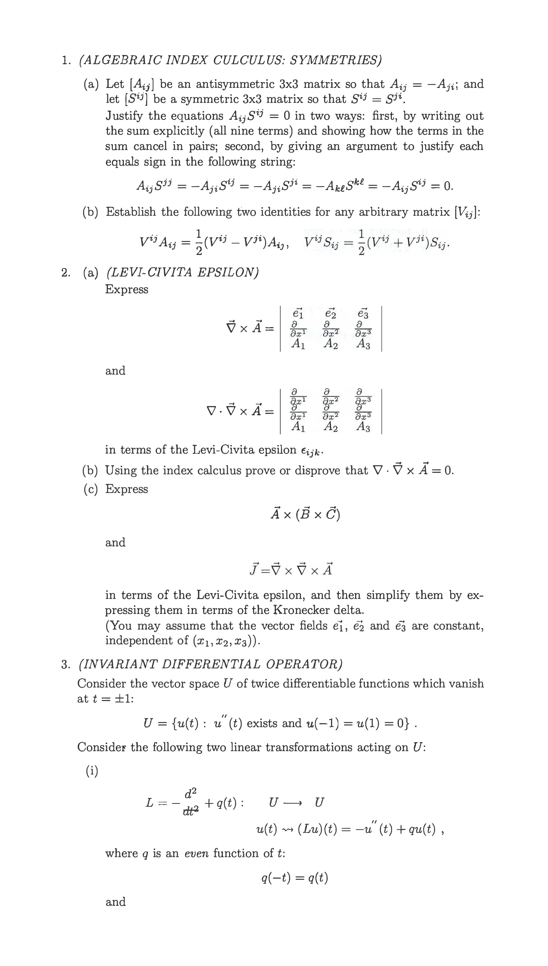
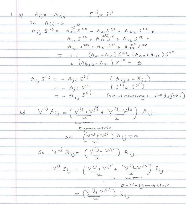
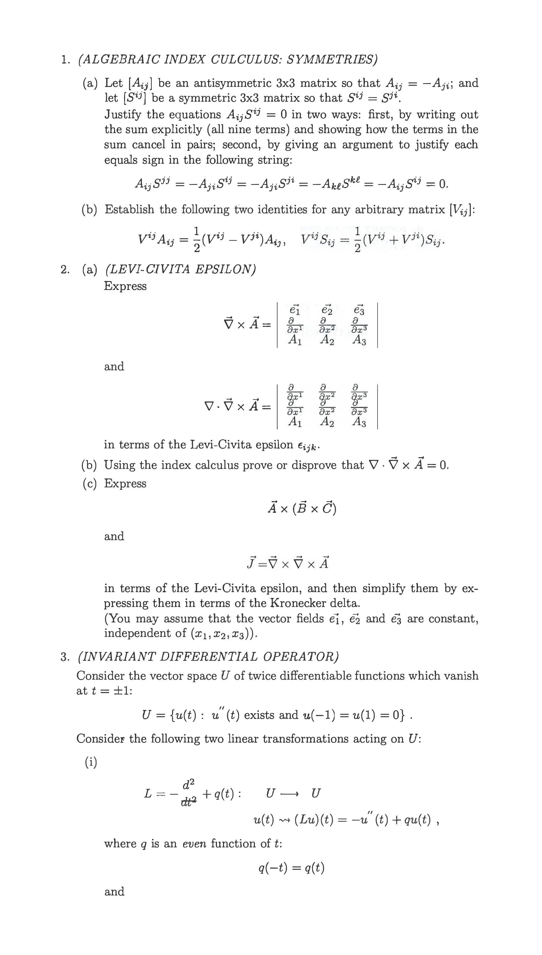
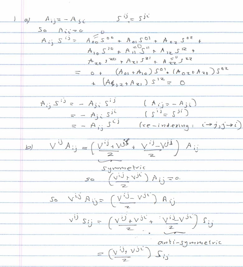
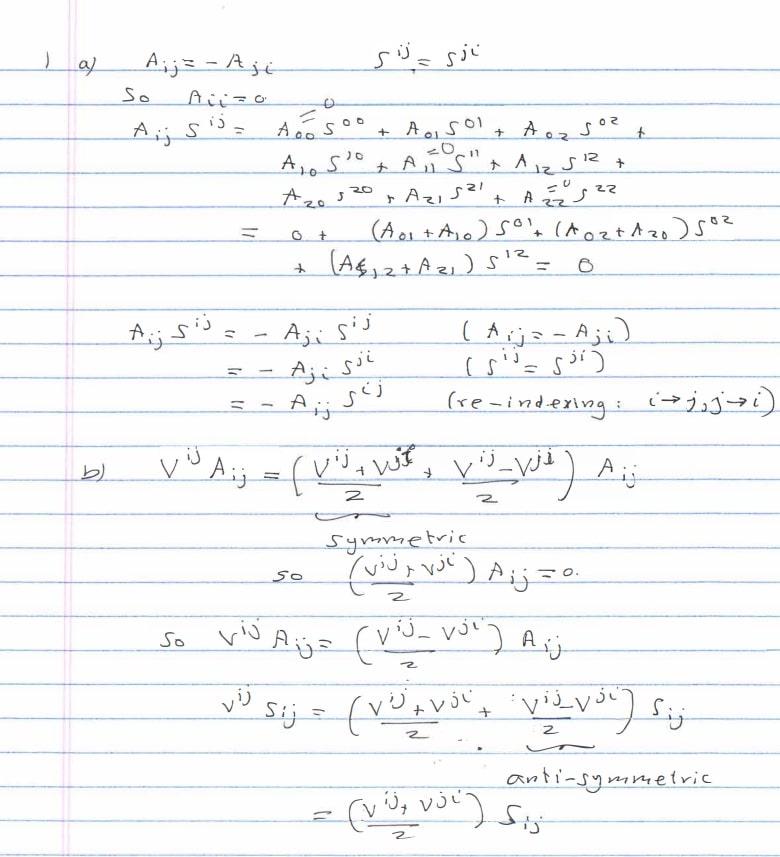
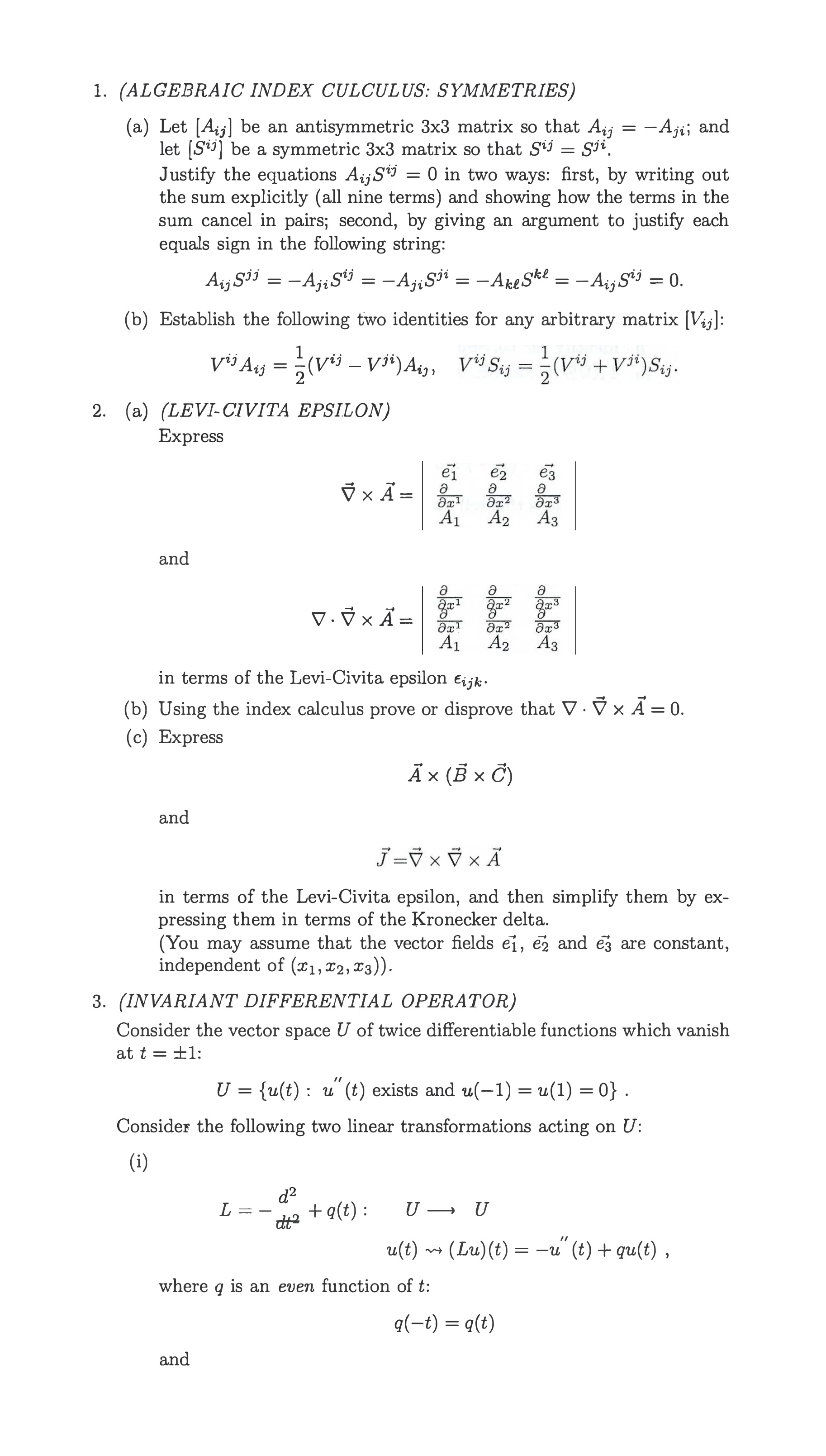
l. ( ALGEBRAIC INDEX CUL CUL US: SYMMETRIES) (a) Let [Aij] be an a...
l. ( ALGEBRAIC INDEX CUL CUL US: SYMMETRIES) (a) Let [Aij] be an a...