Subjects
Online Tutoring
Homework Help
Homework Library
Tutors
Online Classes
More
Bookstore
Blog
Technical Tips
FAQ
Contact Us
Get Help Now
Home
Homework Library
Mathematics
Linear Algebra
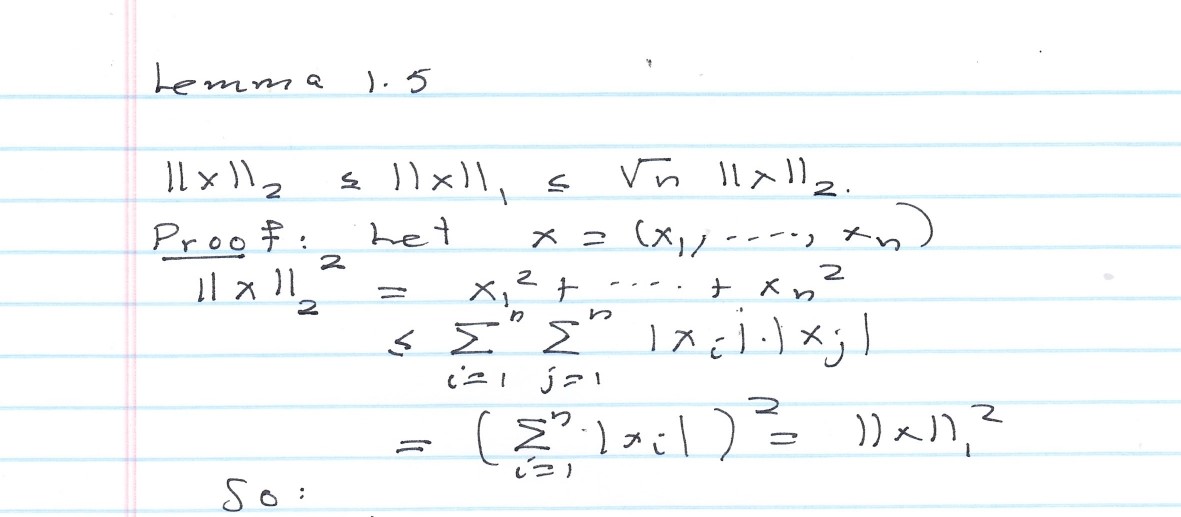
. 1- Prove (An operator norm is a matrix norm)? 2- Prove (Let = R&...
. 1- Prove (An operator norm is a matrix norm)? 2- Prove (Let = R&...