Subjects
Online Tutoring
Homework Help
Homework Library
Tutors
Online Classes
More
Bookstore
Blog
Technical Tips
FAQ
Contact Us
Get Help Now
Home
Homework Library
Mathematics
Linear Algebra
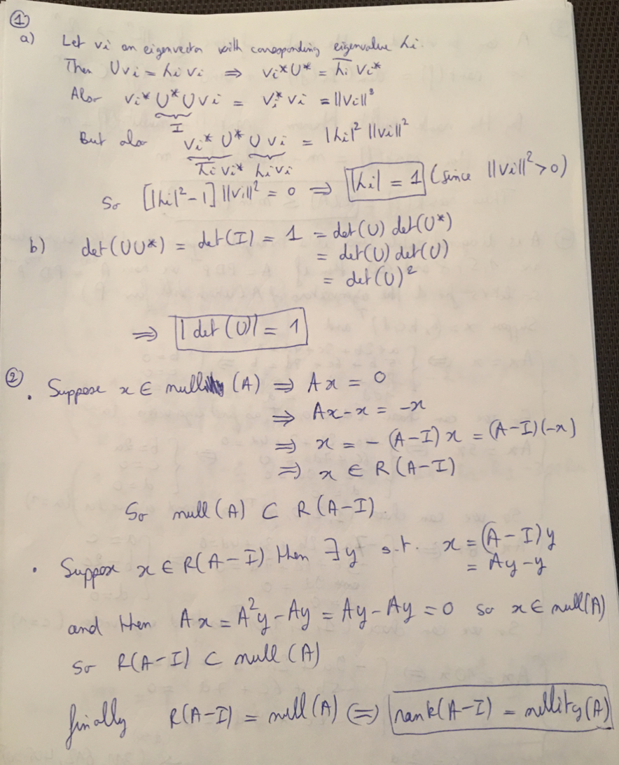
1. Suppose U is a unitary matrix with eigenvalues Ai a) Prove that...
1. Suppose U is a unitary matrix with eigenvalues Ai a) Prove that...