Subjects
Online Tutoring
Homework Help
Homework Library
Tutors
Online Classes
More
Bookstore
Blog
Technical Tips
FAQ
Contact Us
Get Help Now
Home
Homework Library
Mathematics
Linear Algebra
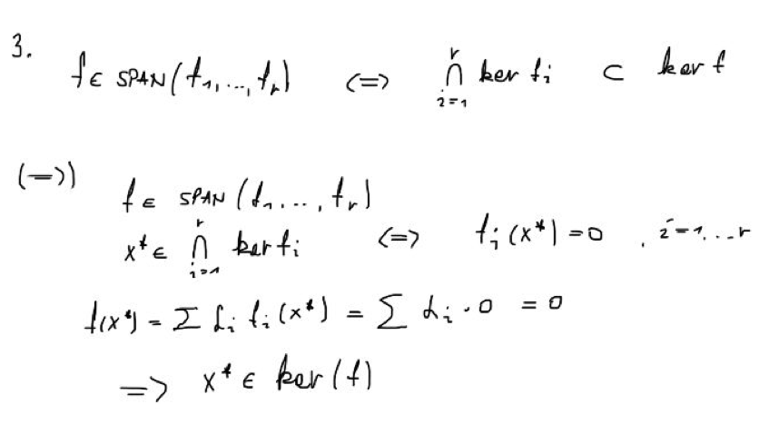
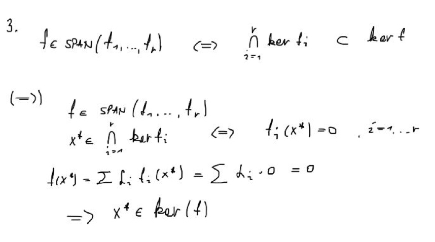
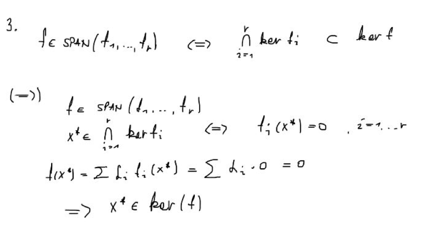
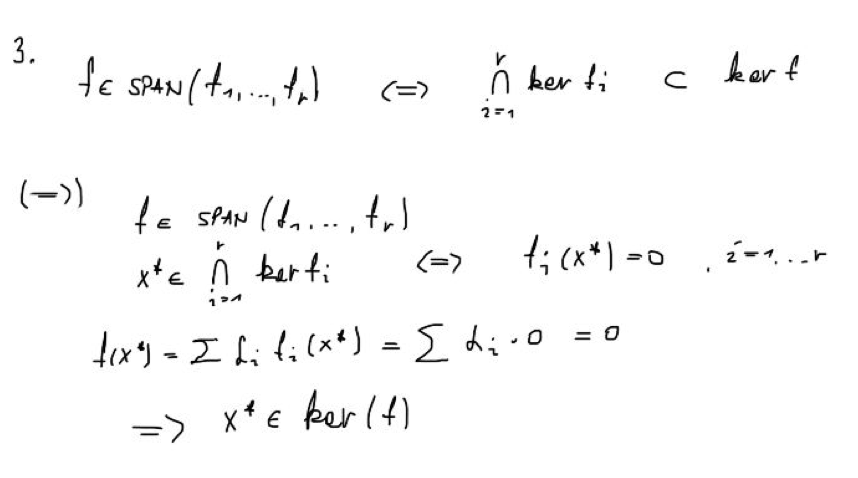
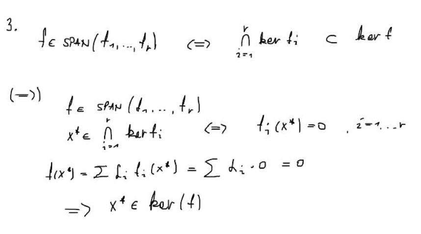
3. Let V be a vector space, and f,f1,..., fr E V'. . Prove that f E...
3. Let V be a vector space, and f,f1,..., fr E V'. . Prove that f E...