Subjects
Online Tutoring
Homework Help
Homework Library
Tutors
Online Classes
More
Bookstore
Blog
Technical Tips
FAQ
Contact Us
Get Help Now
Home
Homework Library
Mathematics
Linear Algebra
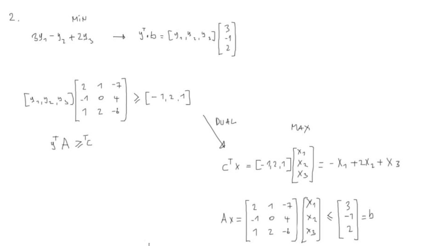
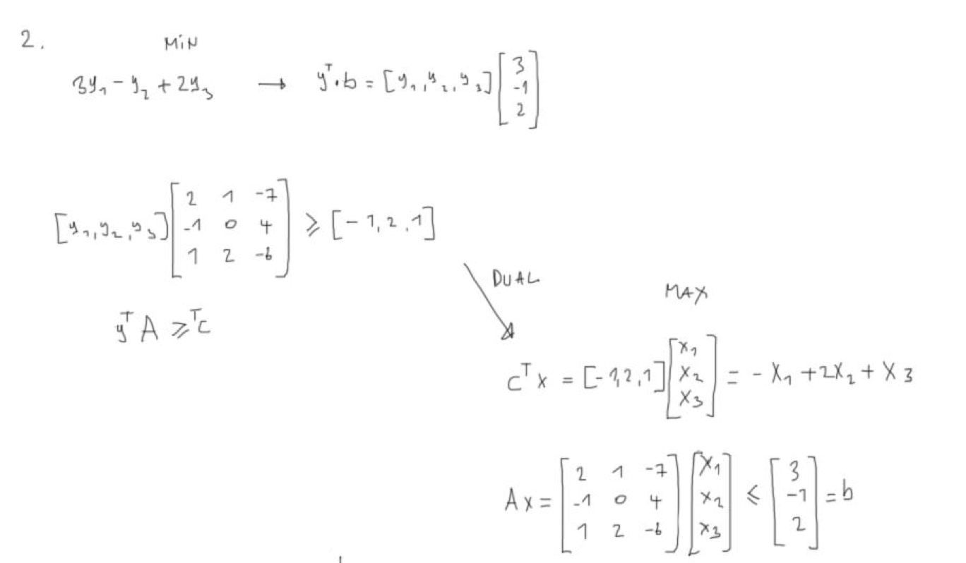
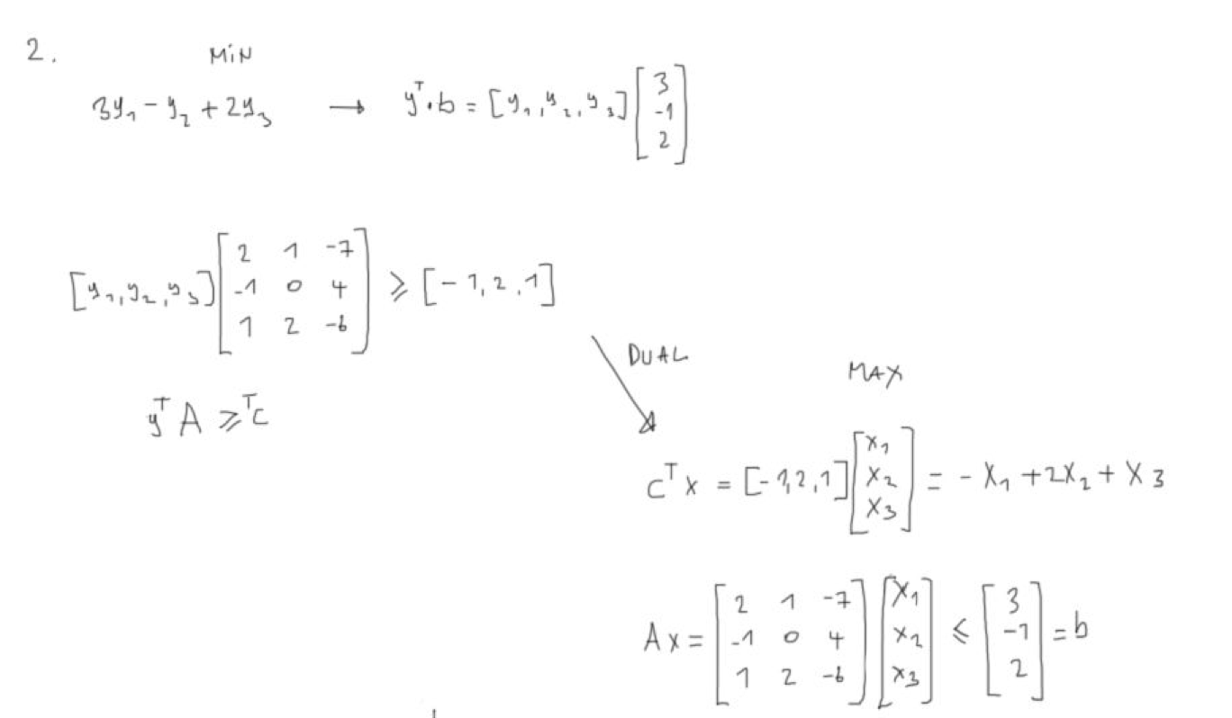
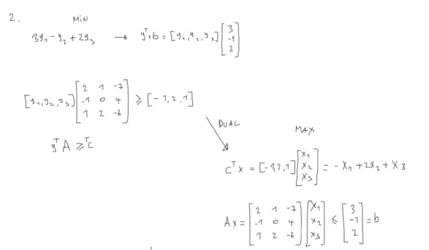
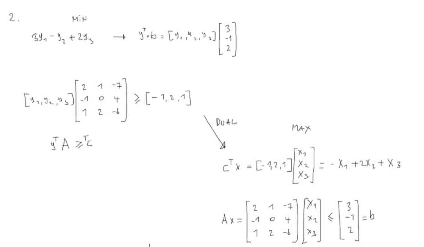
2. Minimize 331 - y + 2y3 subject to the constraints Yi 0 for all i...
2. Minimize 331 - y + 2y3 subject to the constraints Yi 0 for all i...