Subjects
Online Tutoring
Homework Help
Homework Library
Tutors
More
Bookstore
Blog
Technical Tips
FAQ
Contact Us
Get Help Now
Home
Homework Library
Mathematics
Linear Algebra
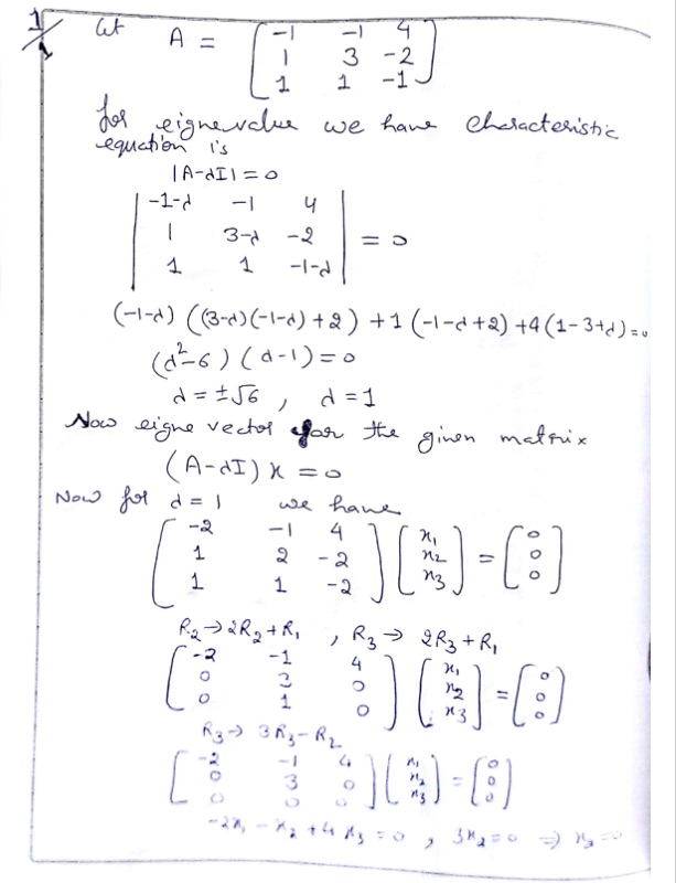
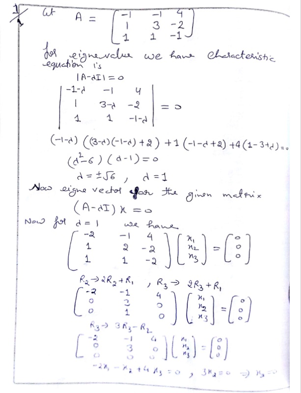
Problem 1: Find the eigenvalues and eigenvectors of the following m...
Problem 1: Find the eigenvalues and eigenvectors of the following m...