Subjects
Online Tutoring
Homework Help
Homework Library
Tutors
More
Bookstore
Blog
Technical Tips
FAQ
Contact Us
Get Help Now
Home
Homework Library
Mathematics
Linear Algebra
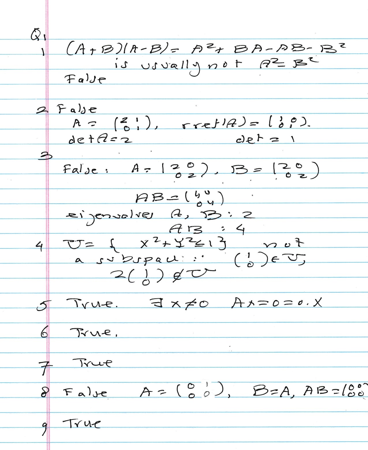
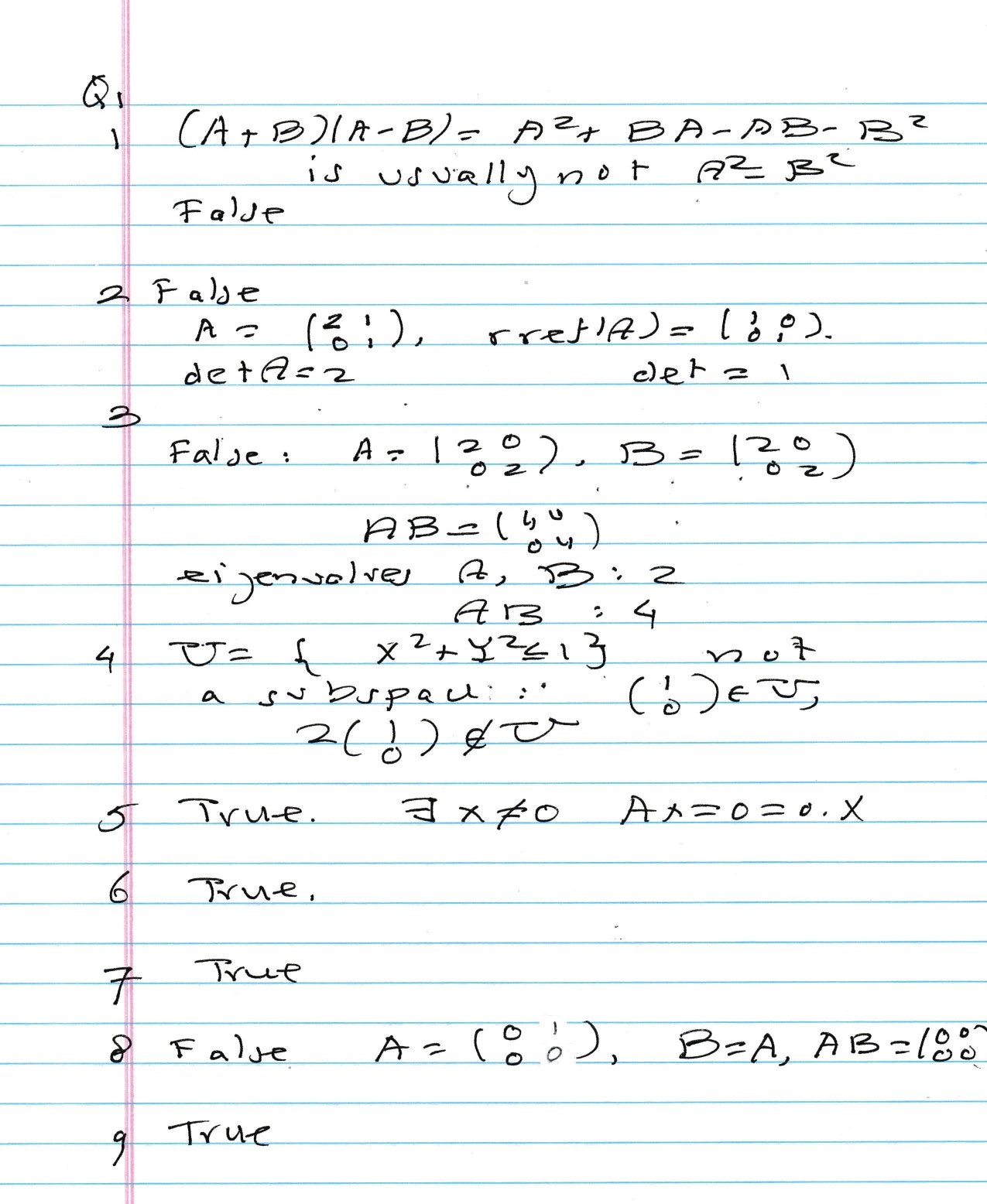
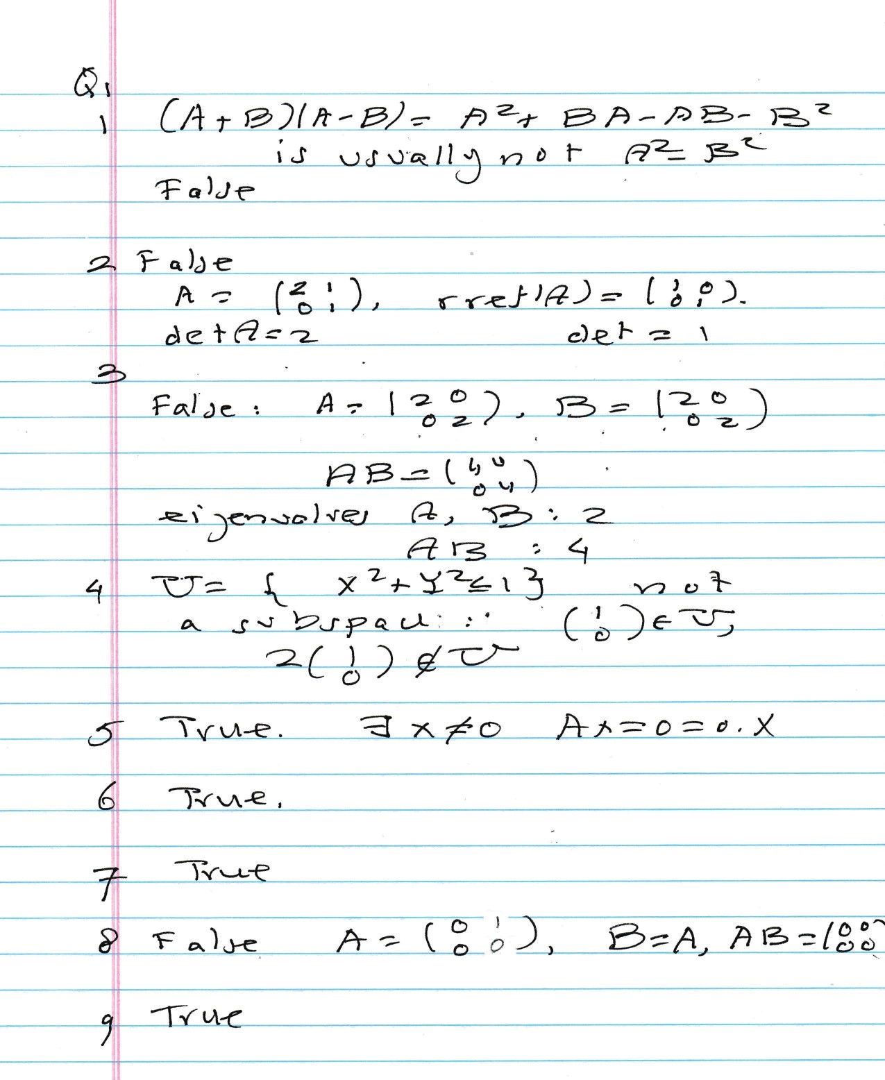
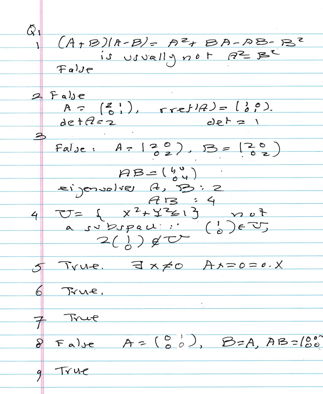
Question 1 Concepts and vocabulary. Circle "True" or &qu...
Question 1 Concepts and vocabulary. Circle "True" or &qu...