Subjects
Online Tutoring
Homework Help
Homework Library
Tutors
Online Classes
More
Bookstore
Blog
Technical Tips
FAQ
Contact Us
Get Help Now
Home
Homework Library
Mathematics
Linear Algebra
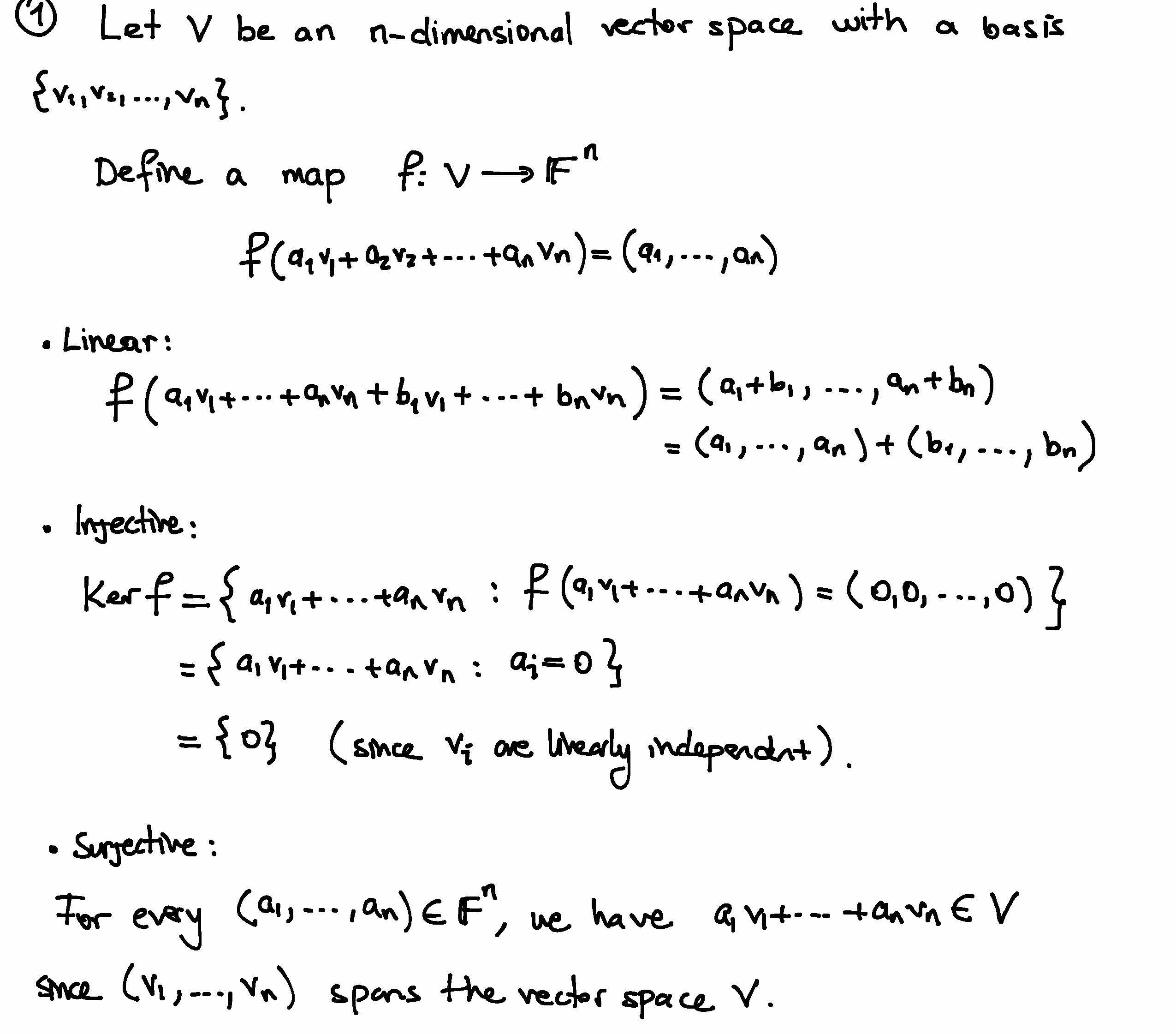
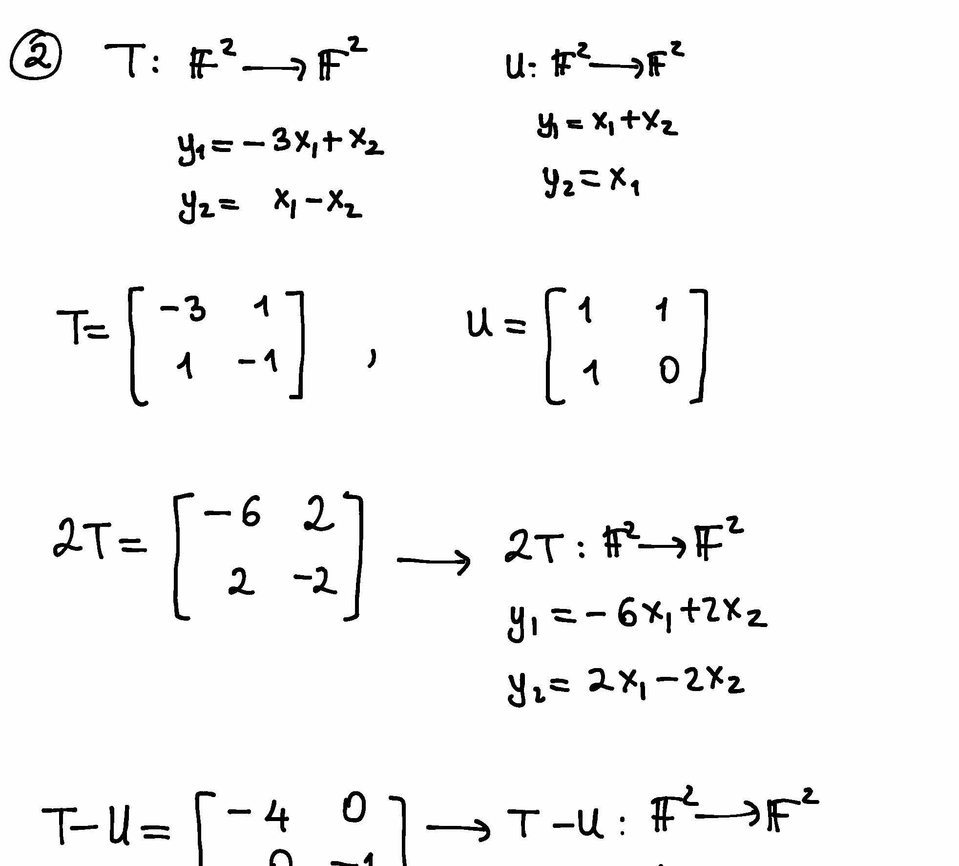
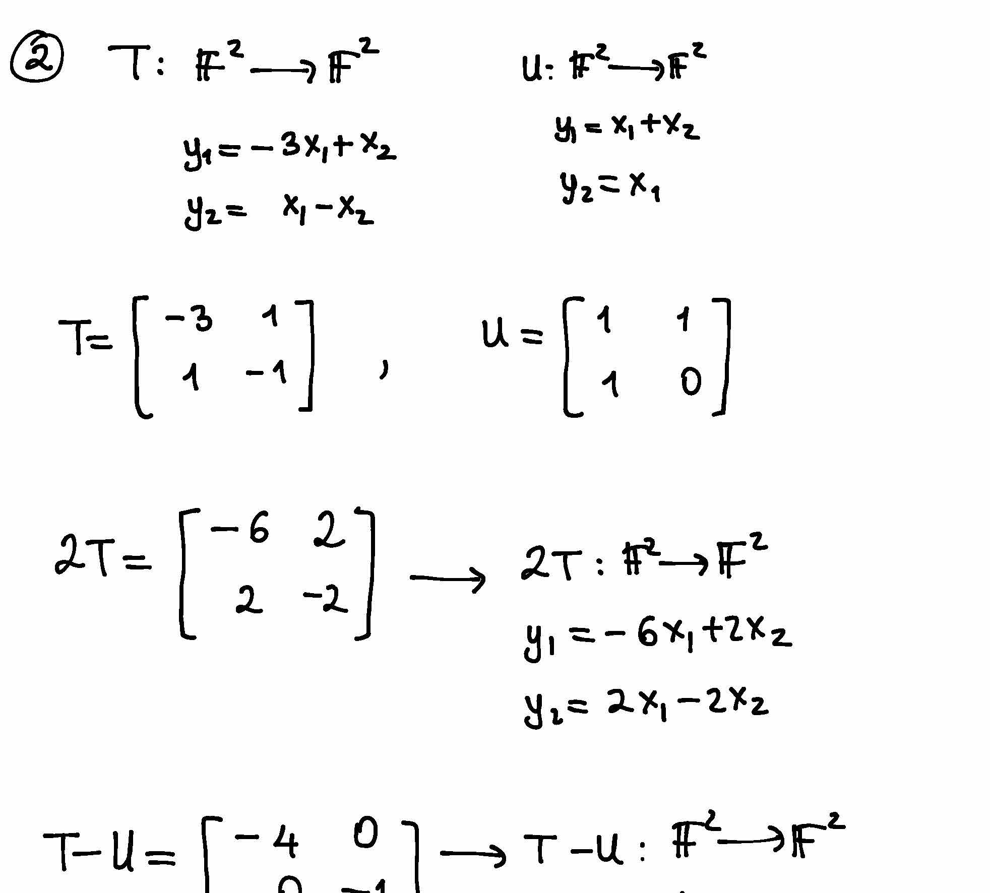
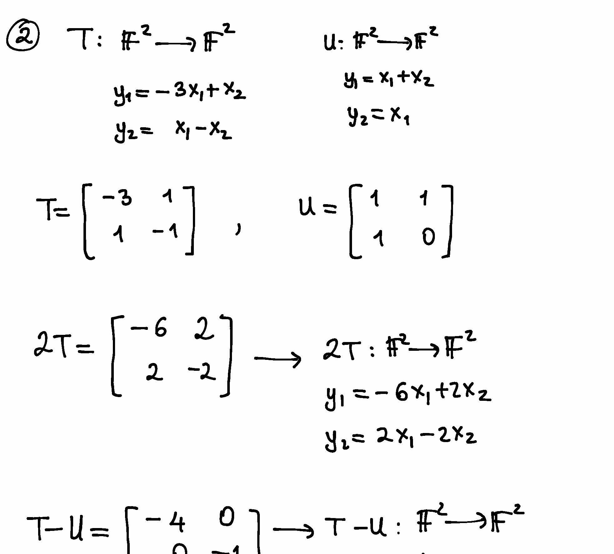
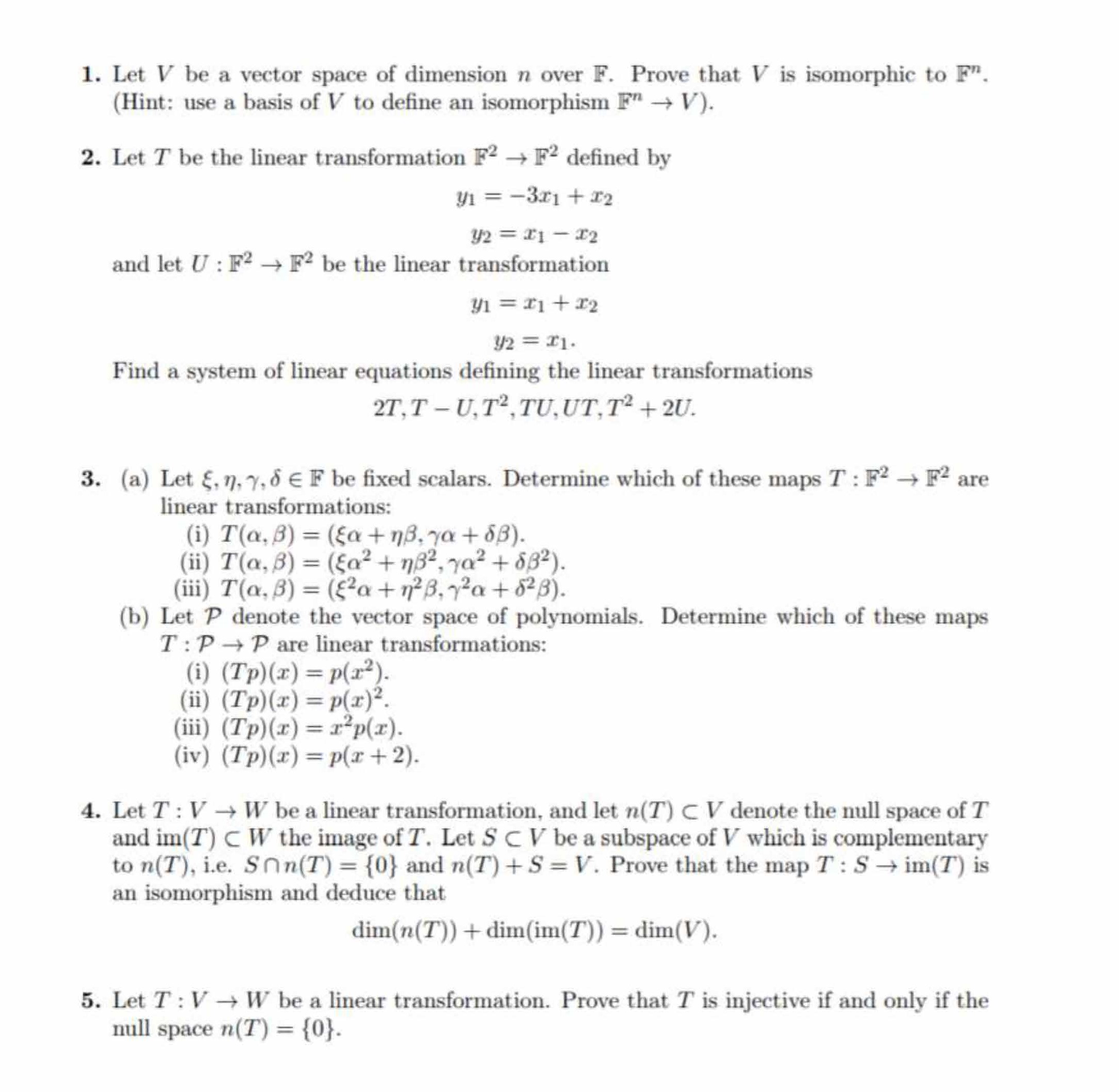
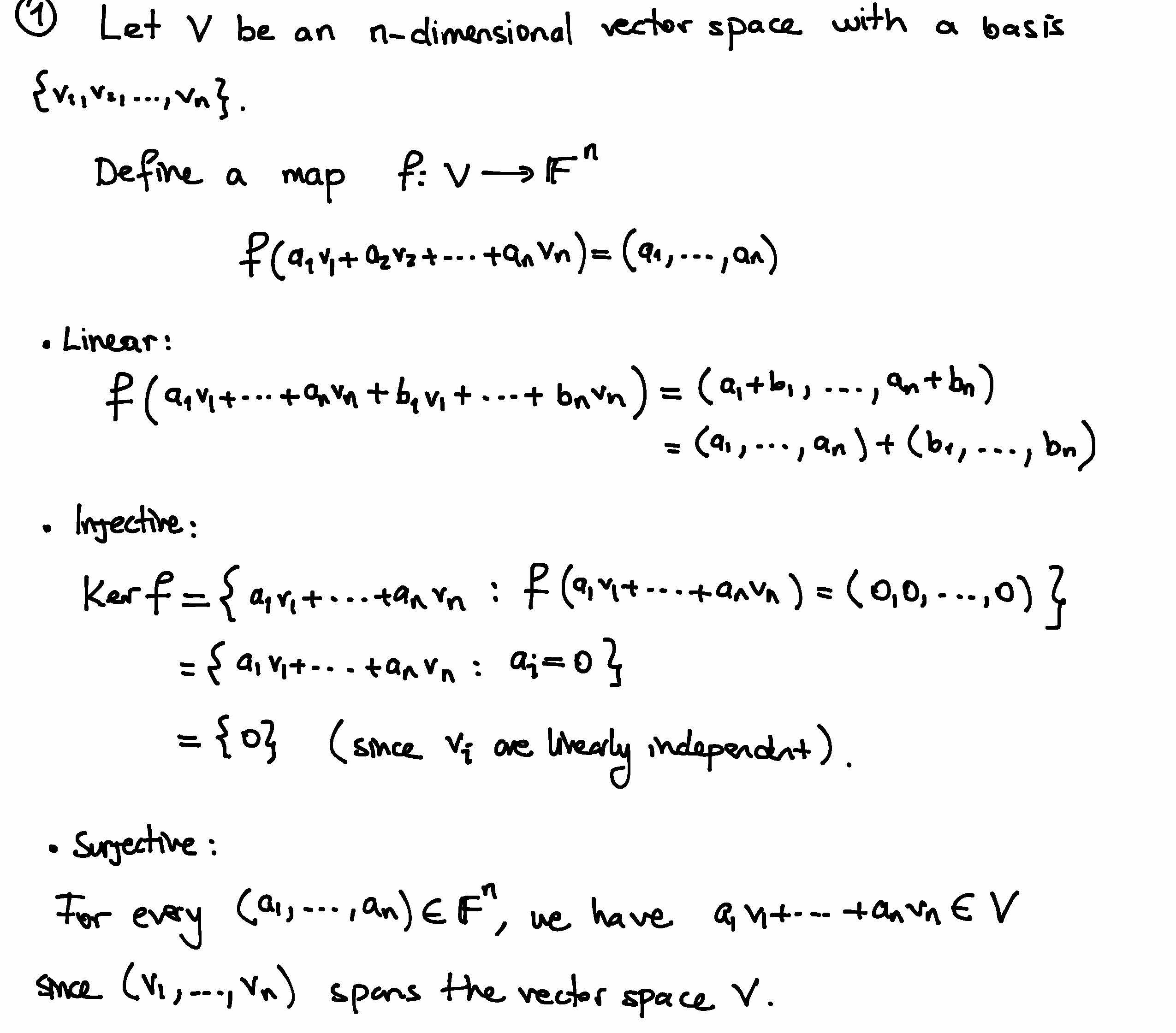
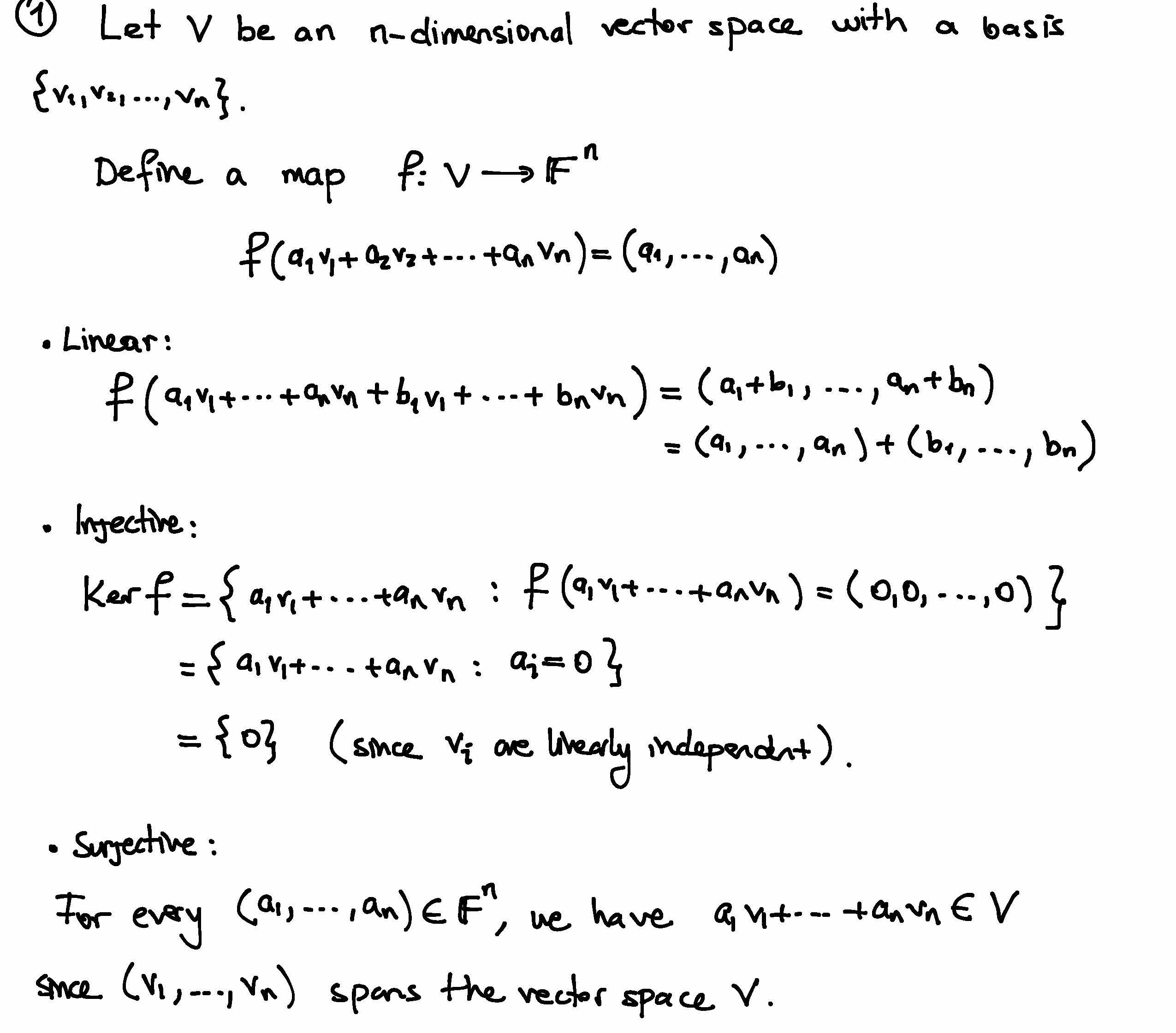
1. Let V be a vector space of dimension n over F. Prove that V is i...
1. Let V be a vector space of dimension n over F. Prove that V is i...