Subjects
Online Tutoring
Homework Help
Homework Library
Tutors
More
Bookstore
Blog
Technical Tips
FAQ
Contact Us
Get Help Now
Home
Homework Library
Mathematics
Linear Algebra
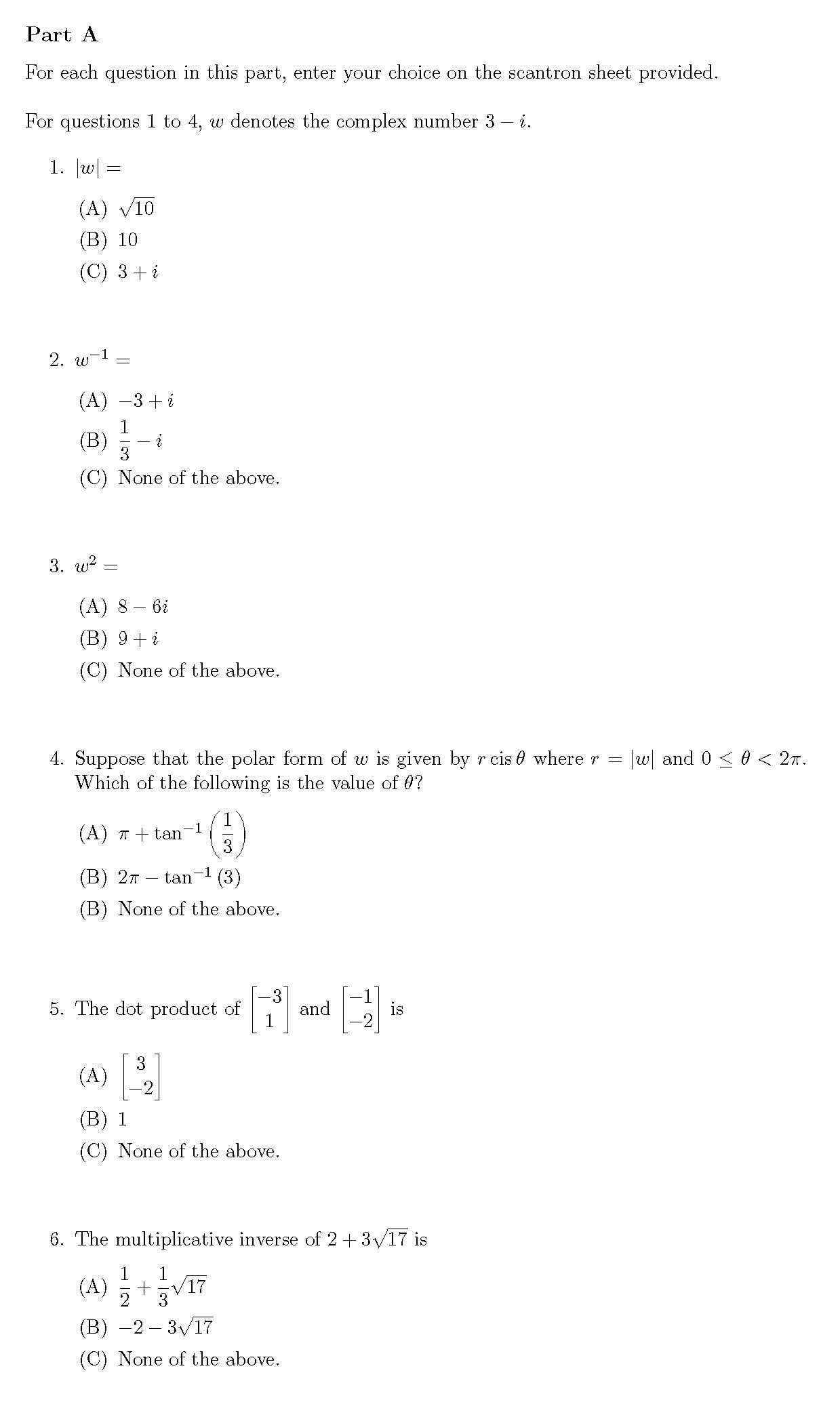
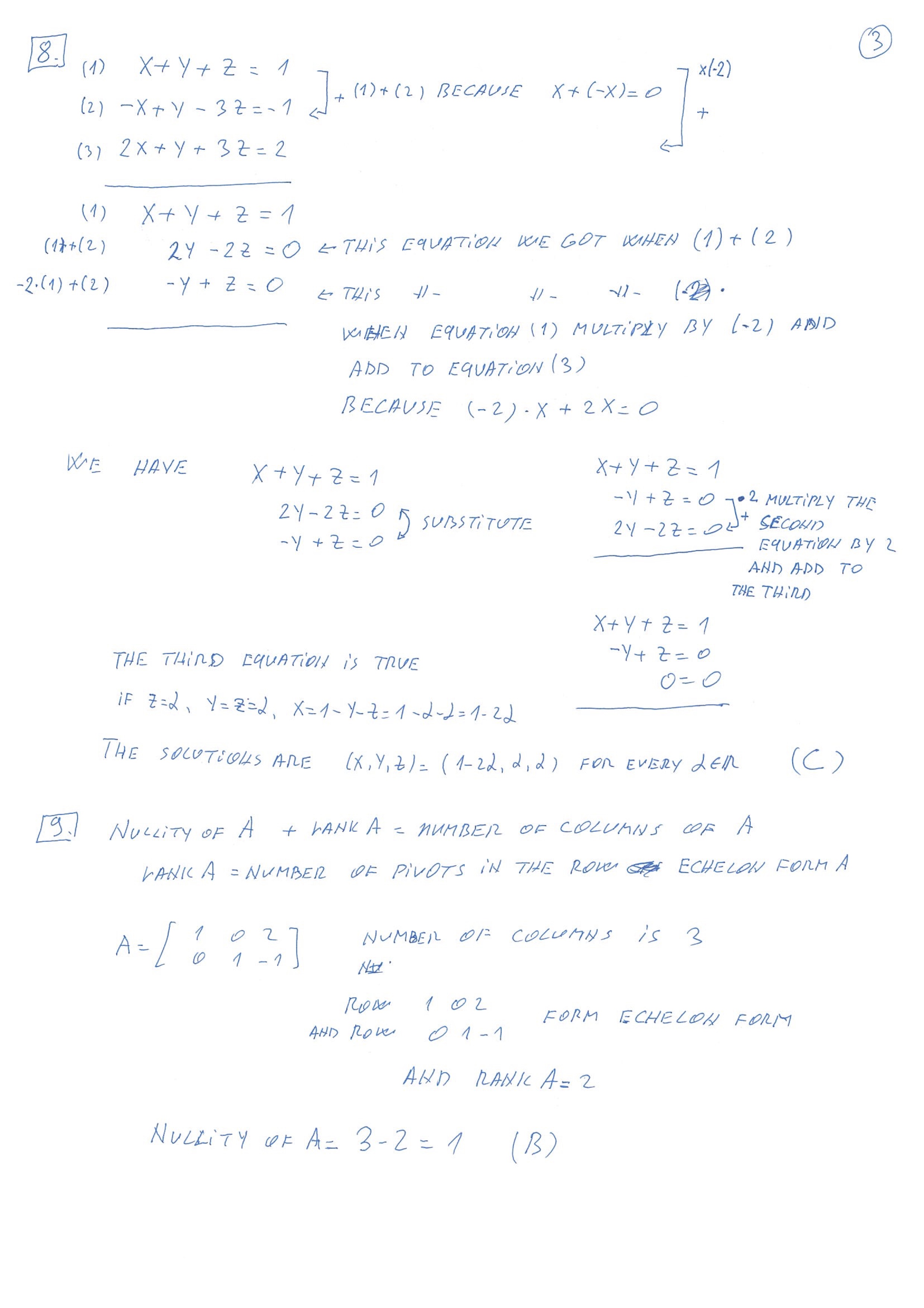
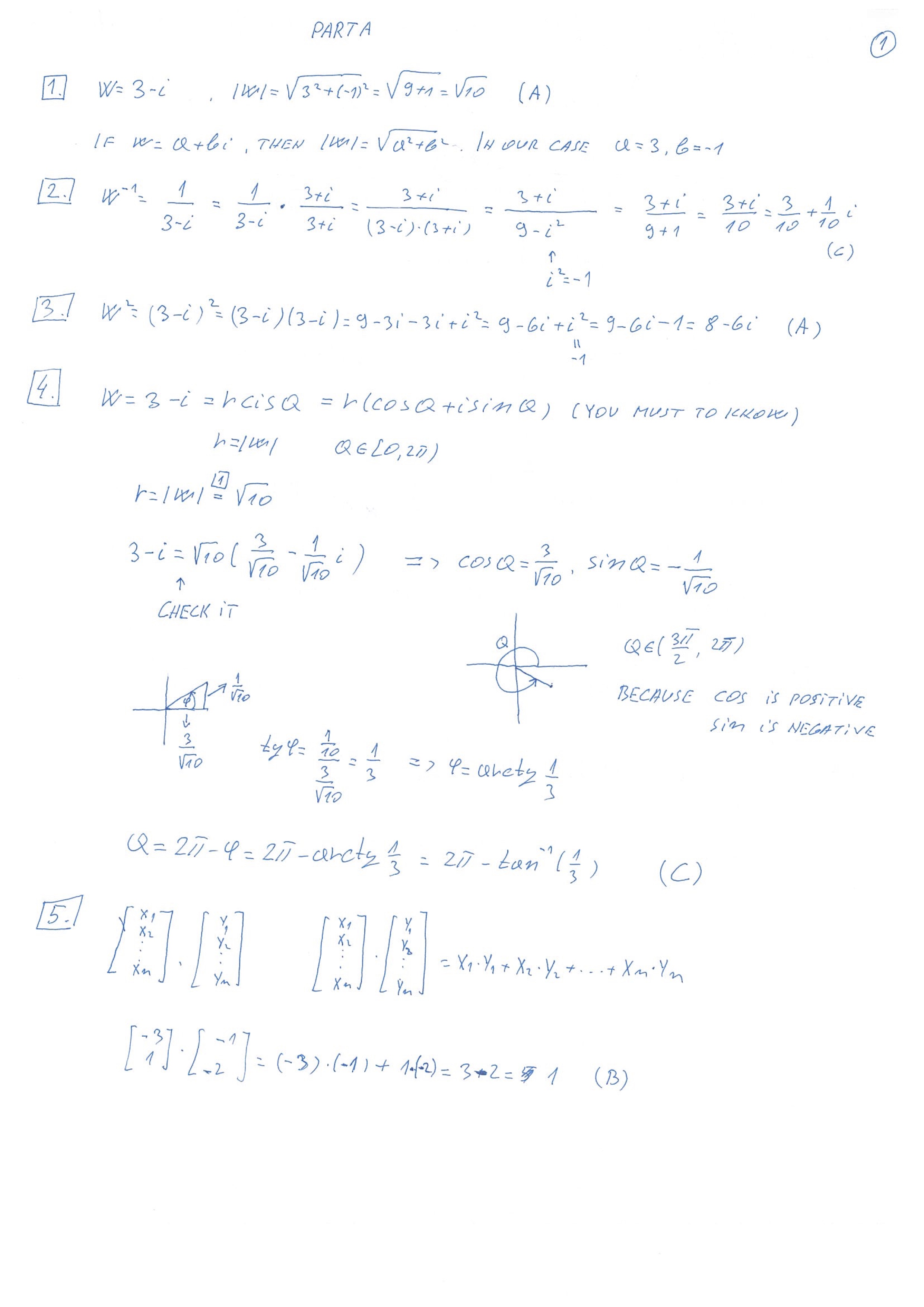
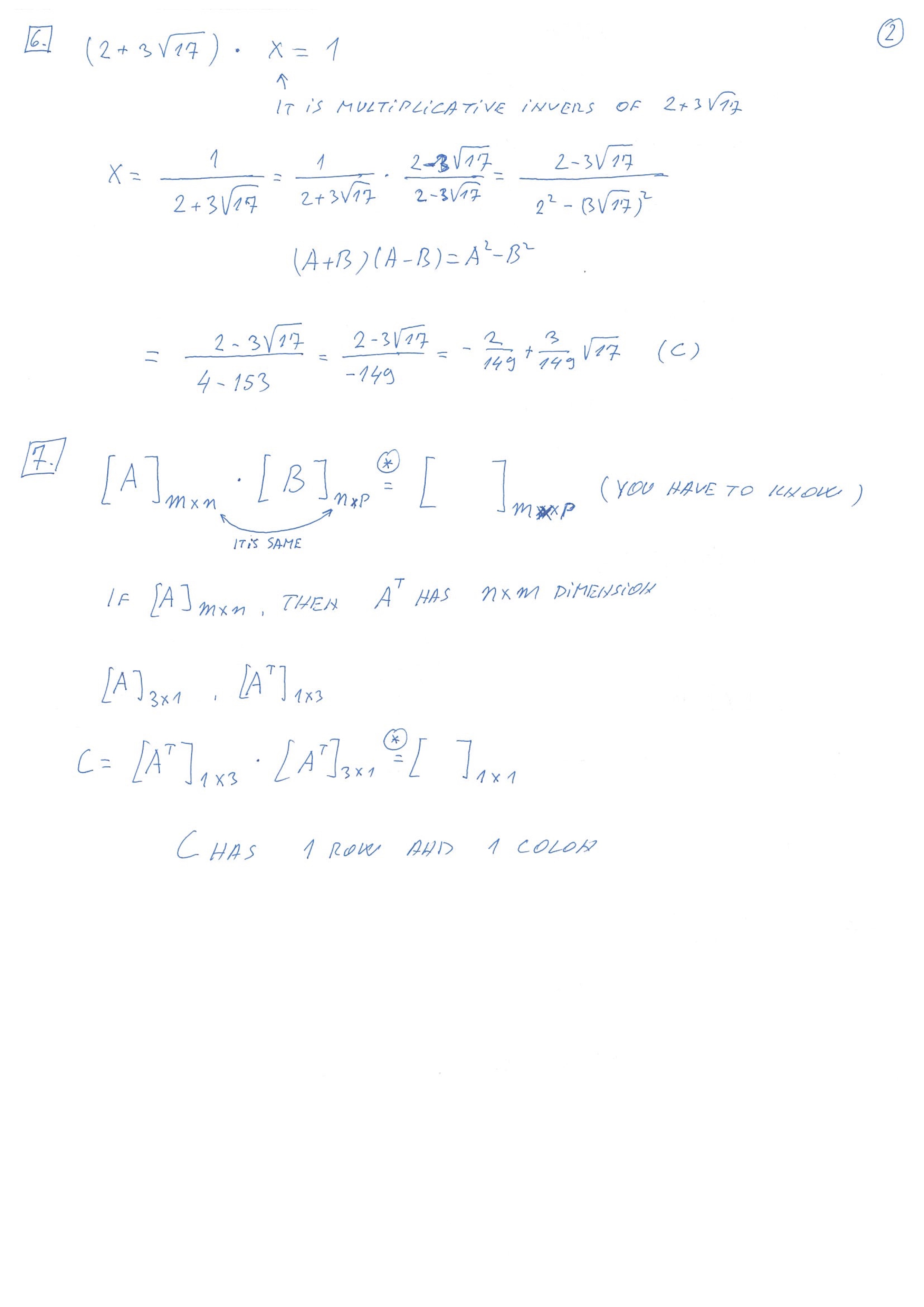
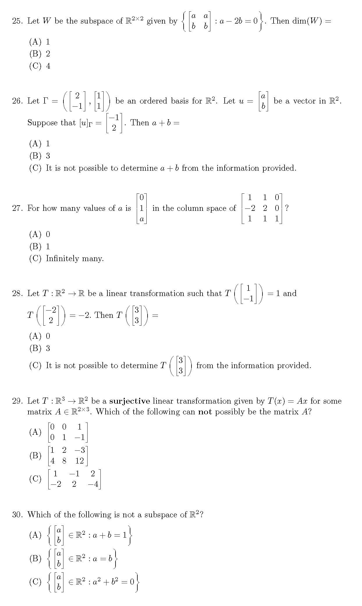
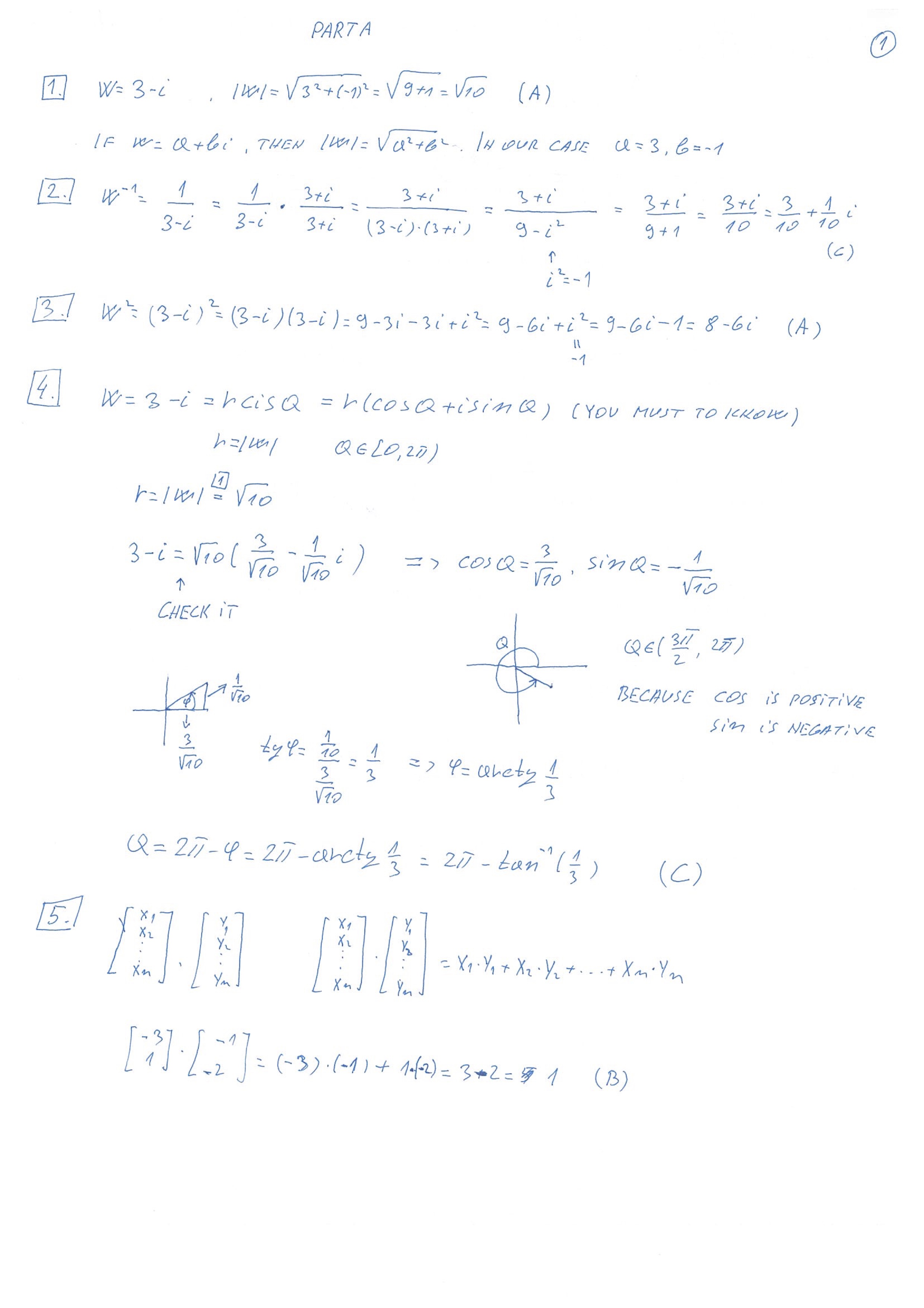
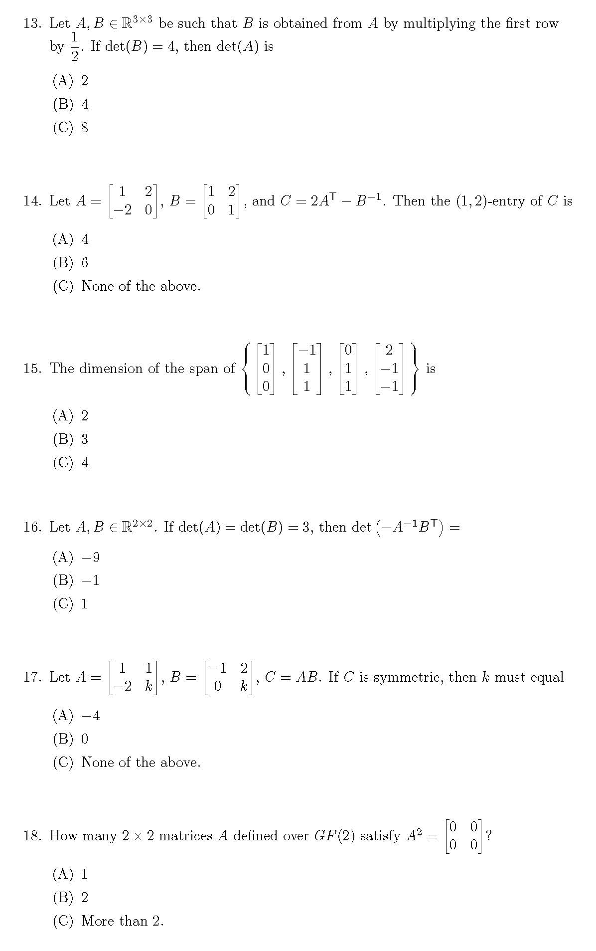
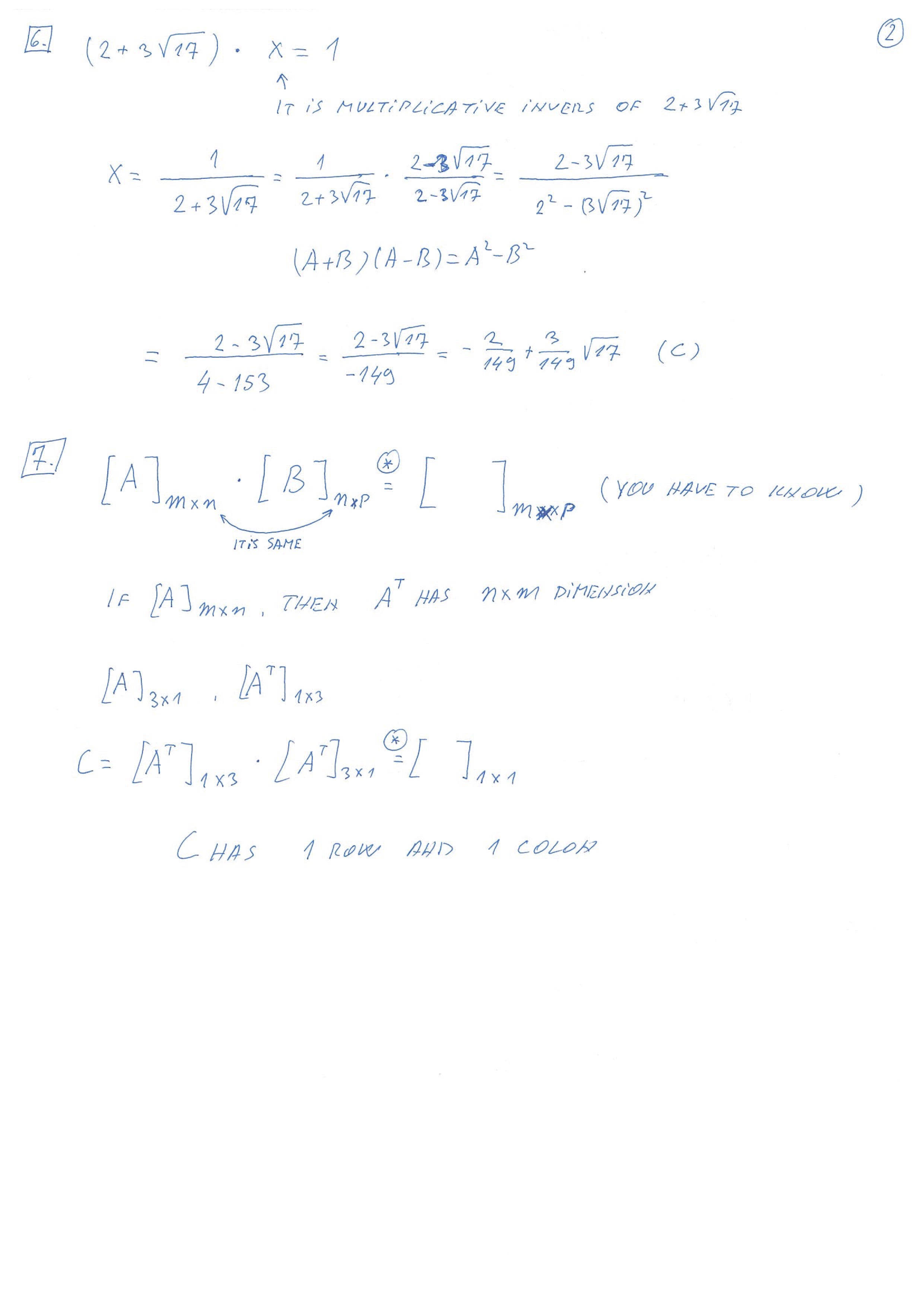
Part A For each question in this part, enter your choice on the sc...
Part A For each question in this part, enter your choice on the sc...