Subjects
Online Tutoring
Homework Help
Homework Library
Tutors
Online Classes
More
Bookstore
Blog
Technical Tips
FAQ
Contact Us
Get Help Now
Home
Homework Library
Mathematics
Linear Algebra
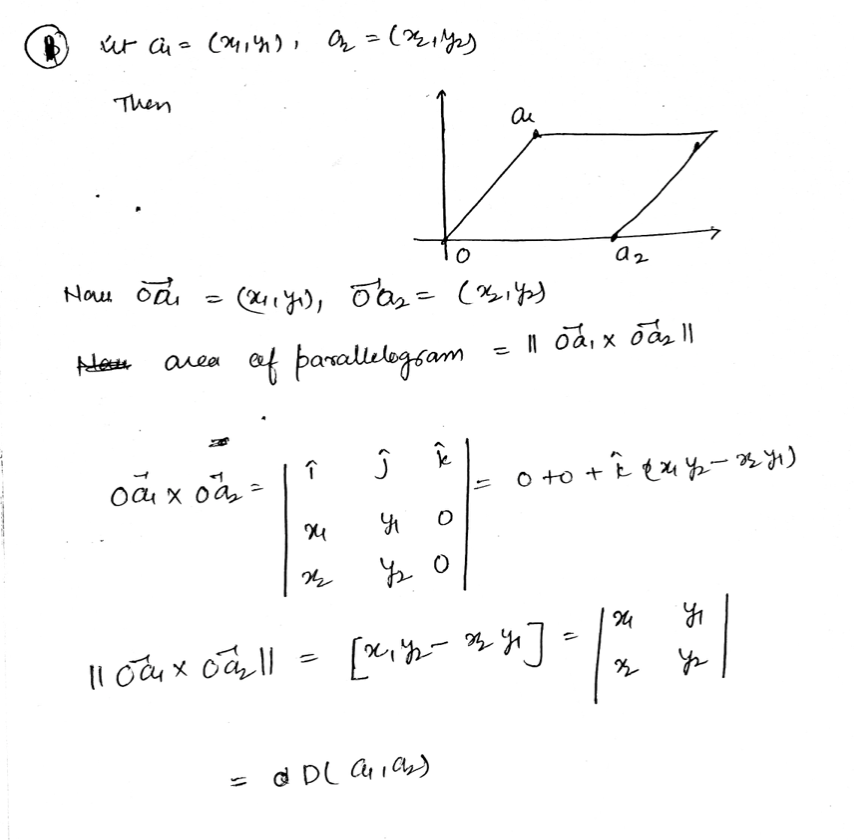
1. Let a1 = (x1,y1) and a2 = be two points in the plane R². Prov...
1. Let a1 = (x1,y1) and a2 = be two points in the plane R². Prove...