Subjects
Online Tutoring
Homework Help
Homework Library
Tutors
More
Bookstore
Blog
Technical Tips
FAQ
Contact Us
Get Help Now
Home
Homework Library
Mathematics
Linear Algebra
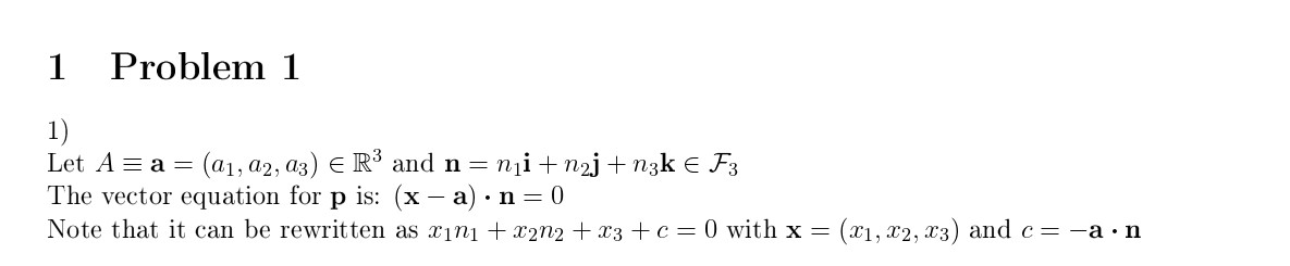
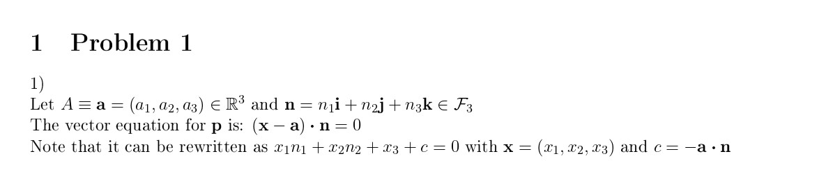
vector Let A and D be two points in the Euclidean space E3, and let...
vector Let A and D be two points in the Euclidean space E3, and let...