Subjects
Online Tutoring
Homework Help
Homework Library
Tutors
More
Bookstore
Blog
Technical Tips
FAQ
Contact Us
Get Help Now
Home
Homework Library
Mathematics
Linear Algebra
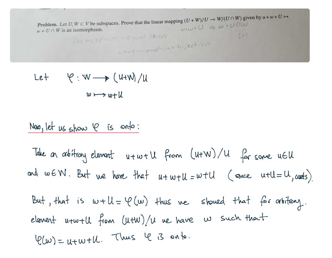
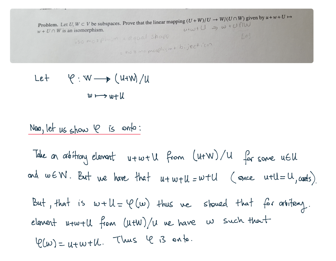
Problem. Let U, W C V be subspaces. Prove that the linear mapping (...
Problem. Let U, W C V be subspaces. Prove that the linear mapping (...