Subjects
Online Tutoring
Homework Help
Homework Library
Tutors
Online Classes
More
Bookstore
Blog
Technical Tips
FAQ
Contact Us
Get Help Now
Home
Homework Library
Mathematics
Linear Algebra
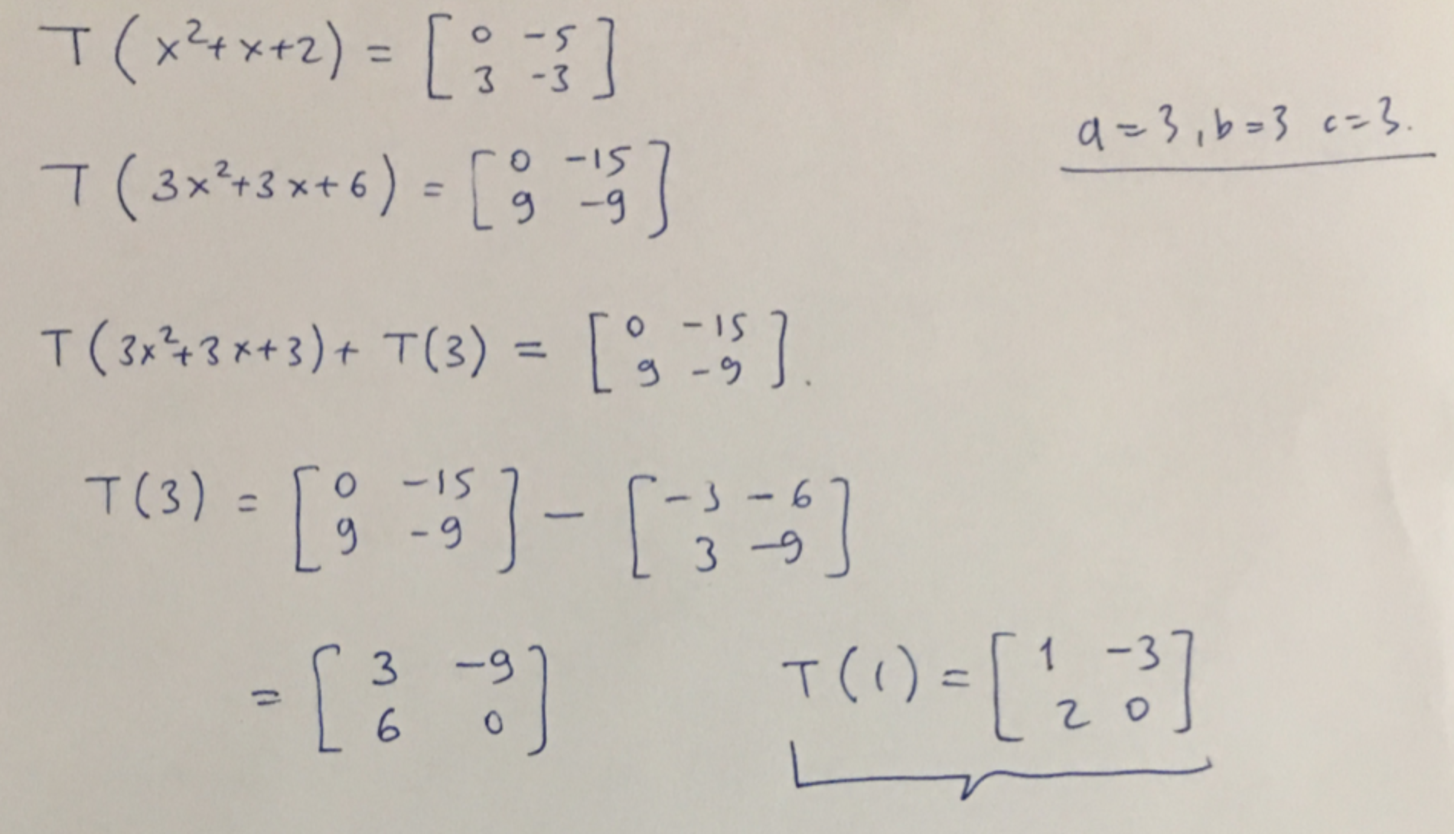
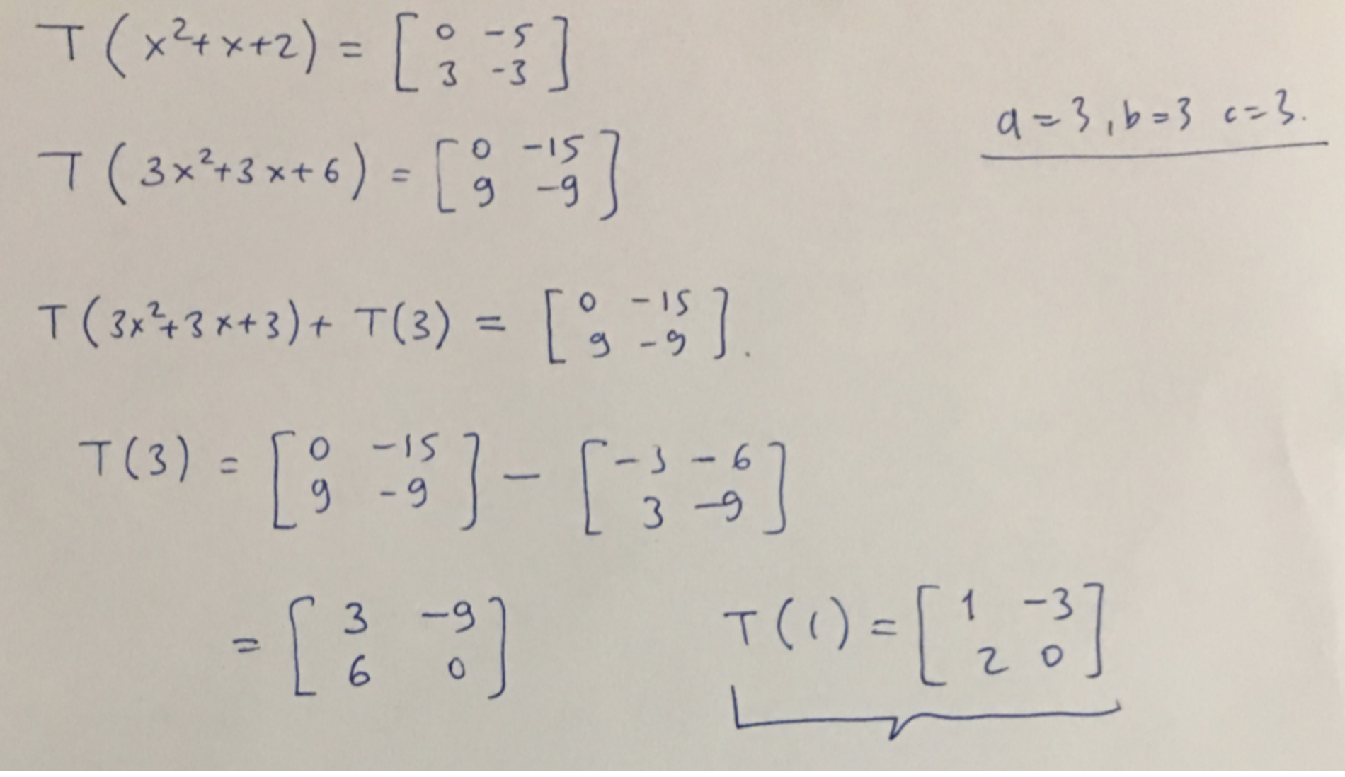
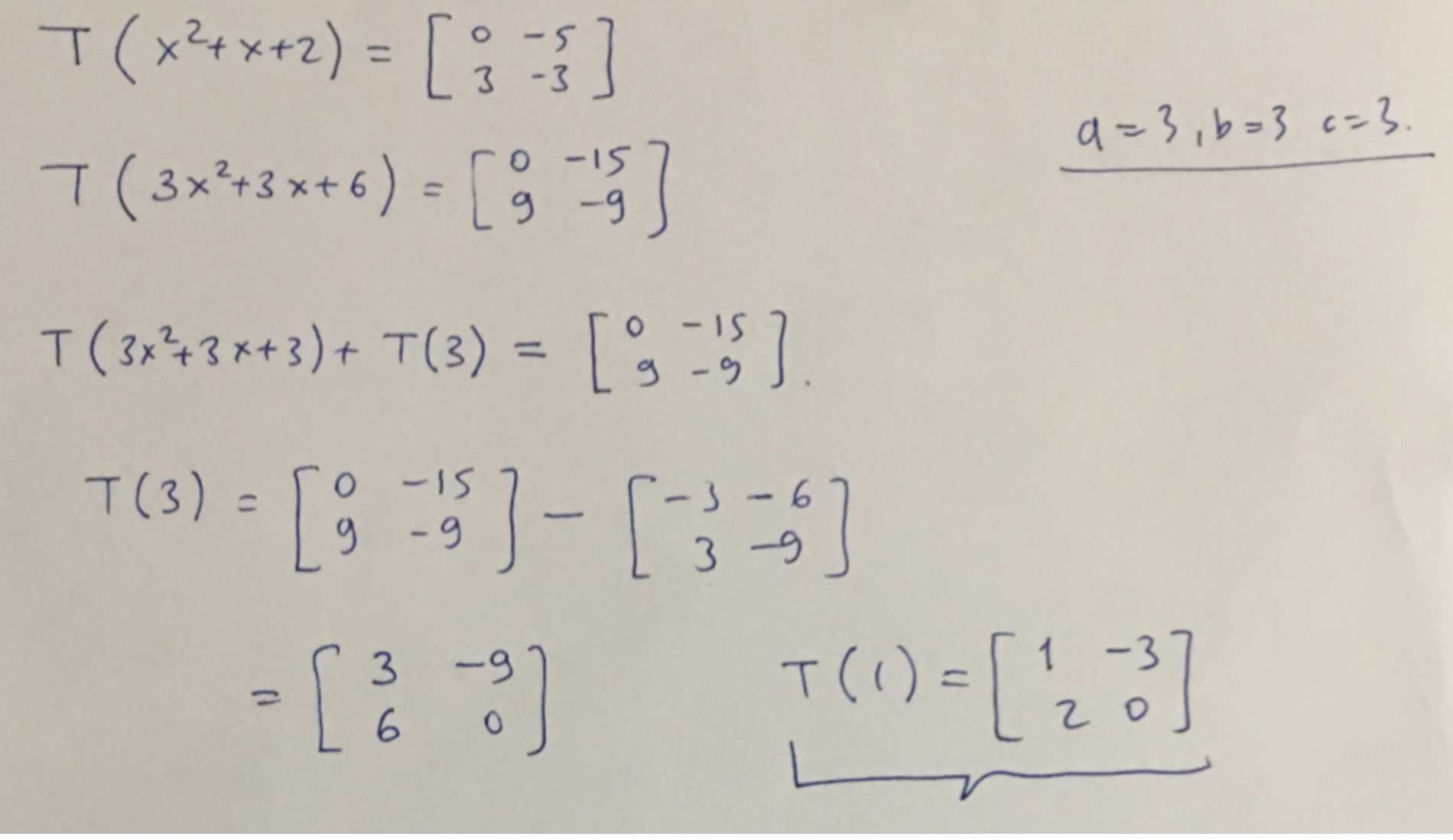
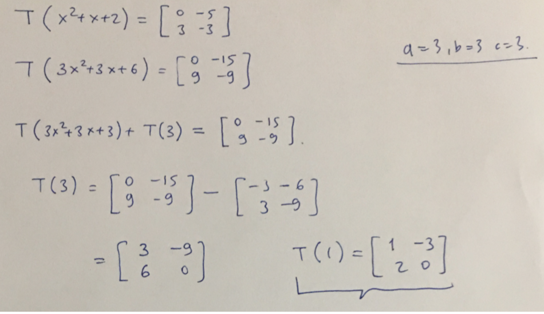
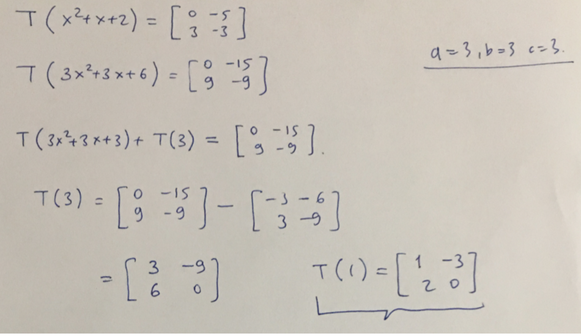
Suppose T: P2-M2,2 is a linear transformation whose action on a bas...
Suppose T: P2-M2,2 is a linear transformation whose action on a bas...