Subjects
Online Tutoring
Homework Help
Homework Library
Tutors
Online Classes
More
Bookstore
Blog
Technical Tips
FAQ
Contact Us
Get Help Now
Home
Homework Library
Mathematics
Linear Algebra
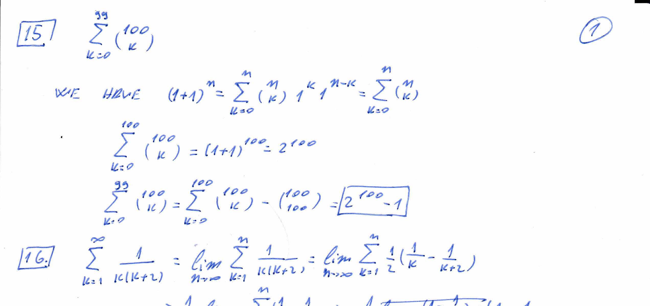
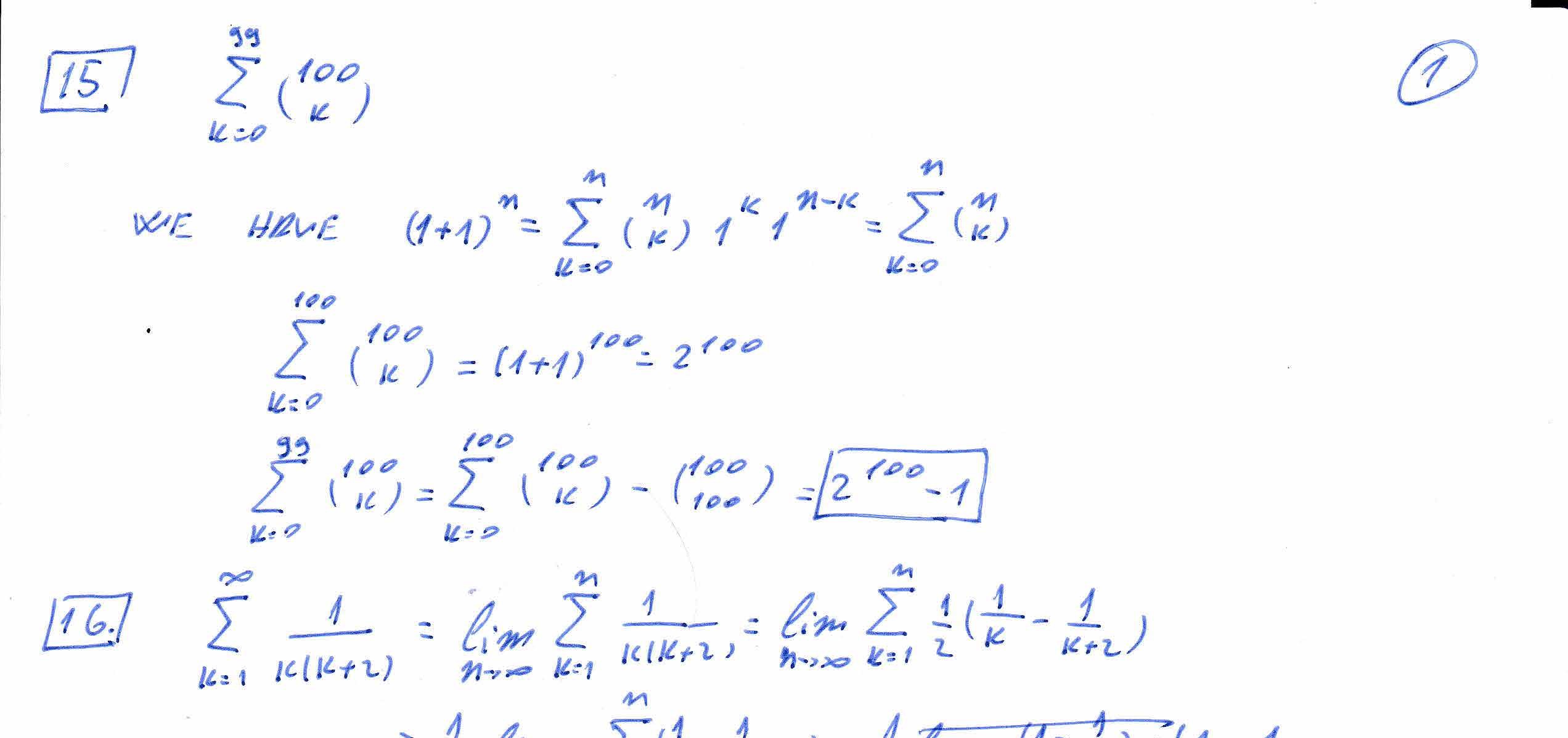
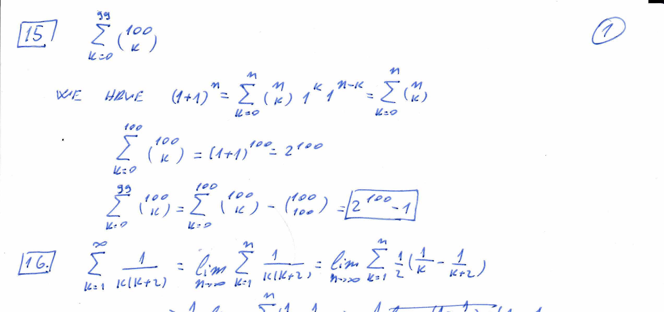
(ii) 17. Suppose f is a function. Write down the limit statement (...
(ii) 17. Suppose f is a function. Write down the limit statement (...