Subjects
Online Tutoring
Homework Help
Homework Library
Tutors
Online Classes
More
Bookstore
Blog
Technical Tips
FAQ
Contact Us
Get Help Now
Home
Homework Library
Mathematics
Linear Algebra
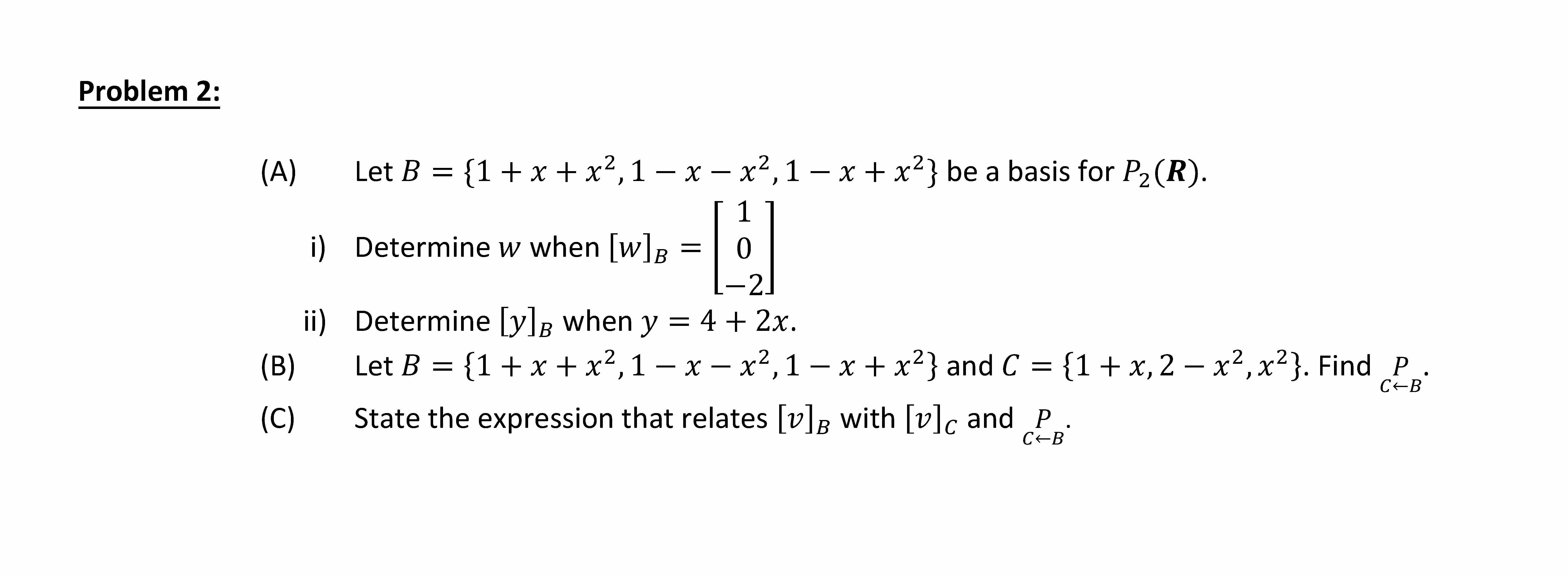
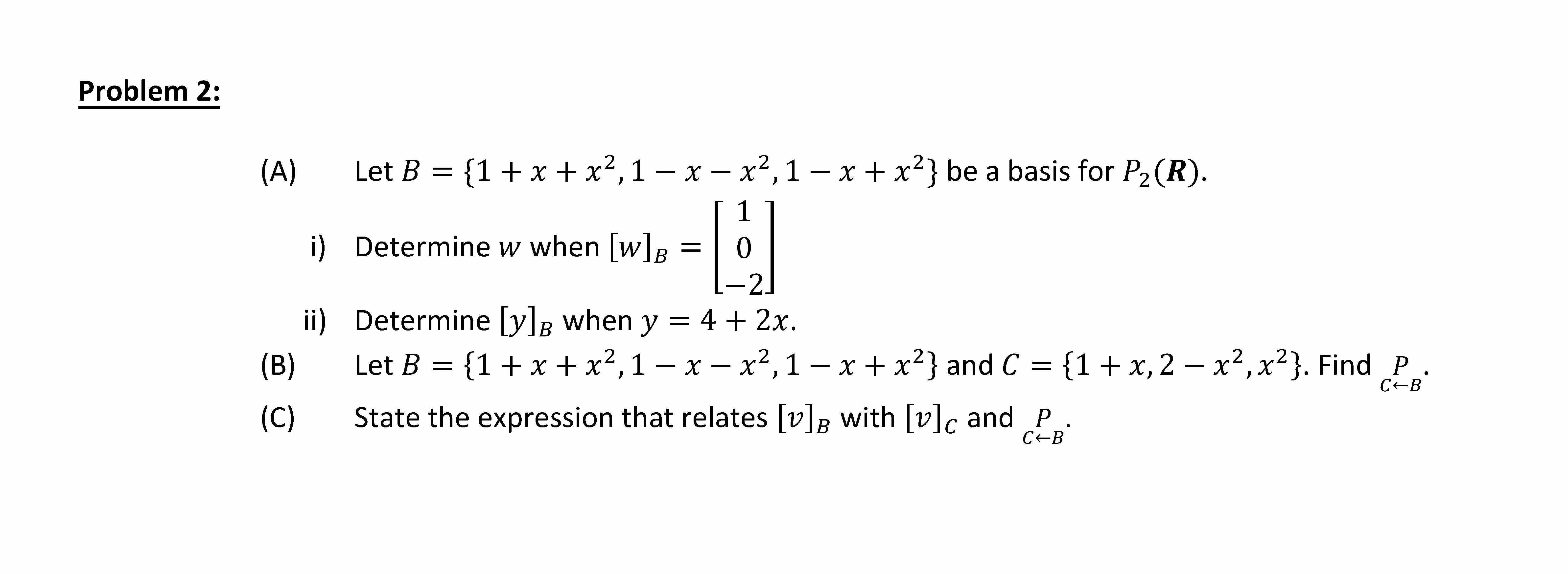
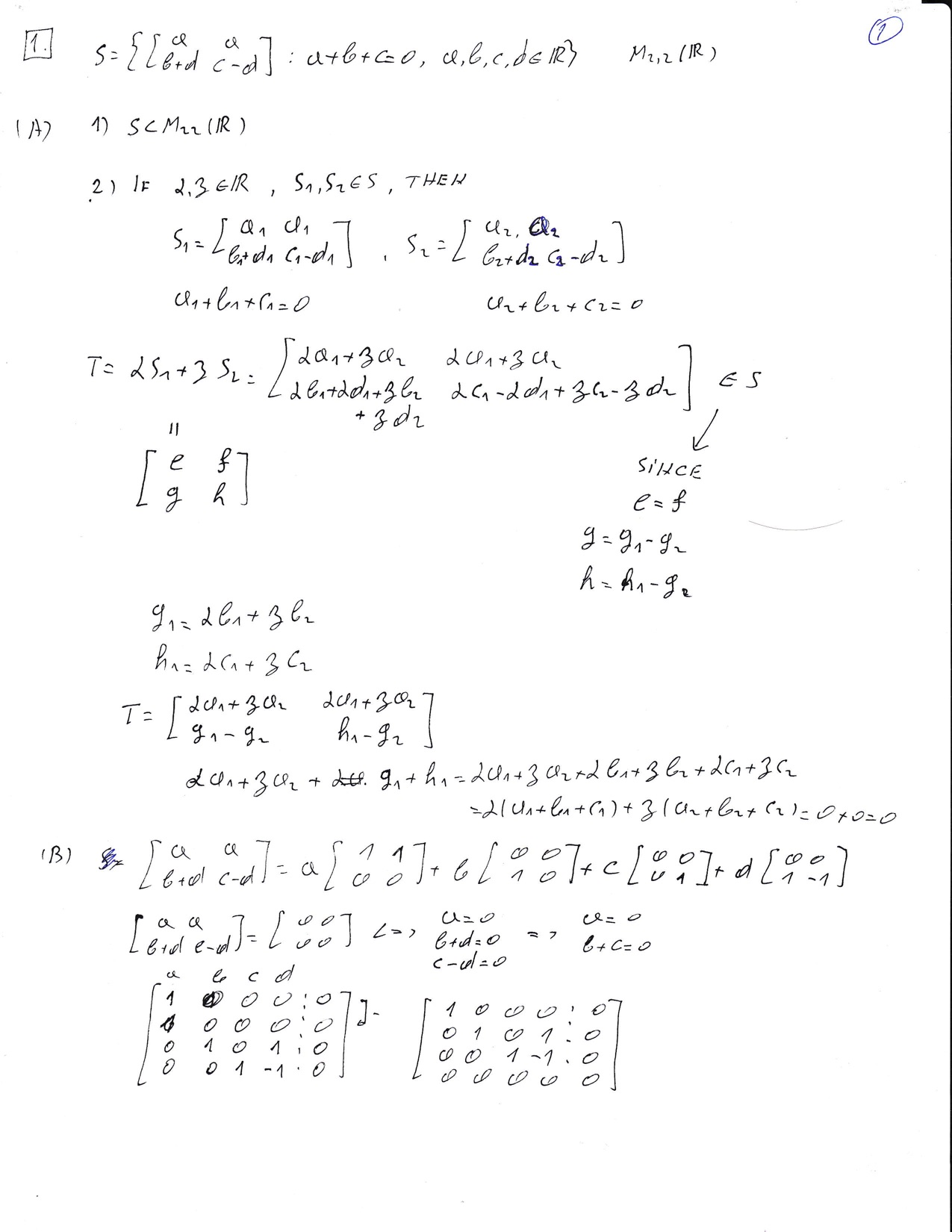
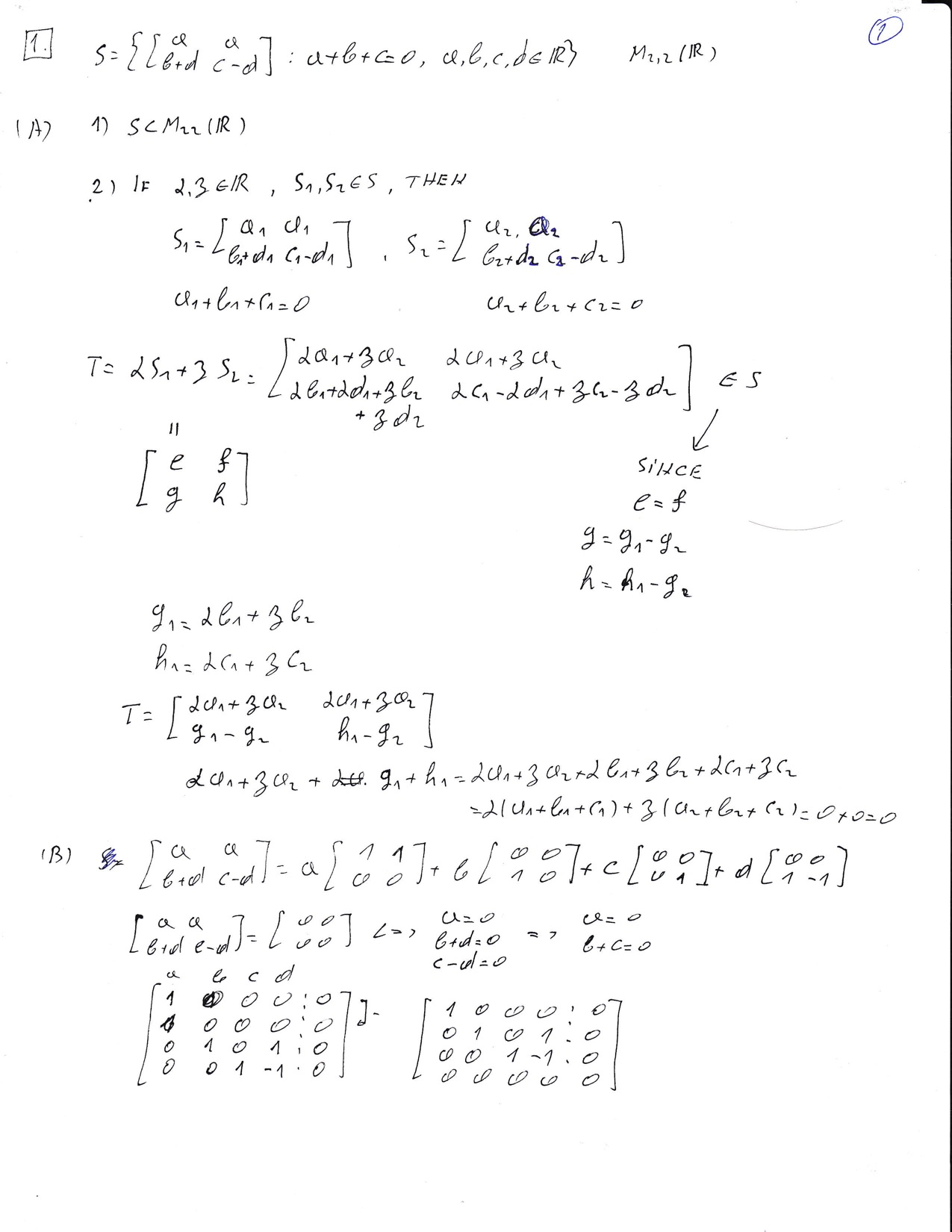
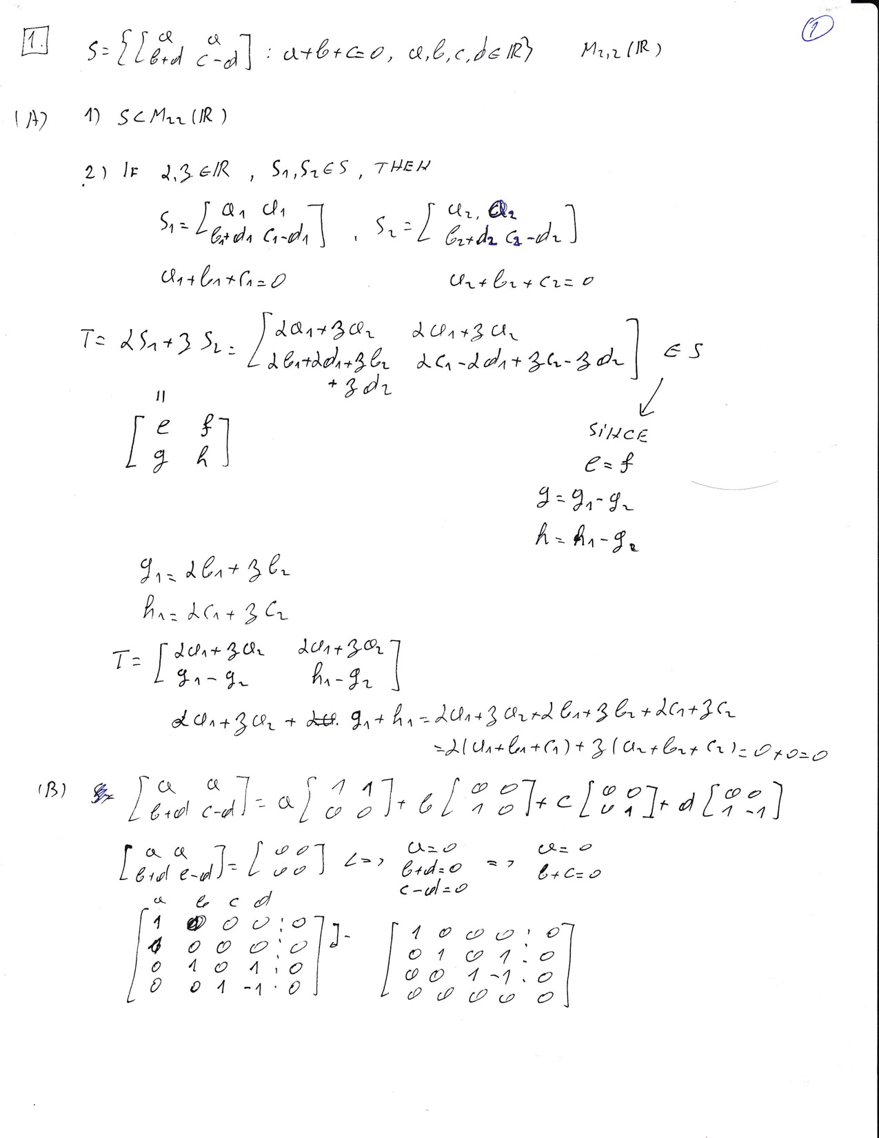
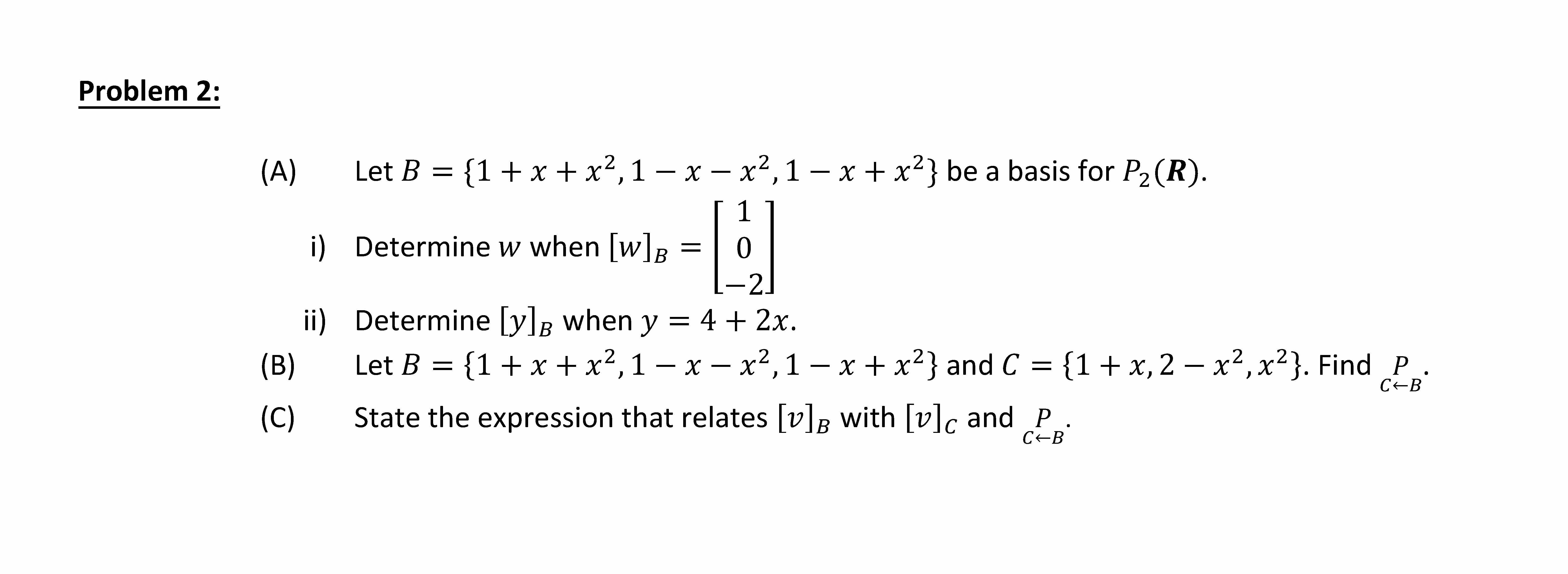
Problem 1: (A) Show𑆠= {[ 𑎠𑎠]∶ð‘Ž+ð‘+ð‘=0, ð‘Ž...