Subjects
Online Tutoring
Homework Help
Homework Library
Tutors
Online Classes
More
Bookstore
Blog
Technical Tips
FAQ
Contact Us
Get Help Now
Home
Homework Library
Mathematics
Linear Algebra
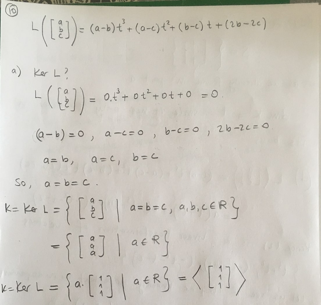
Let L:R 3 P3 be given by a b = (a-b)t³+ - (a - c)t2 + (b - c...
Let L:R 3 P3 be given by a b = (a-b)t³+ - (a - c)t2 + (b - c)t...