Subjects
Online Tutoring
Homework Help
Homework Library
Tutors
More
Bookstore
Blog
Technical Tips
FAQ
Contact Us
Get Help Now
Home
Homework Library
Mathematics
Linear Algebra
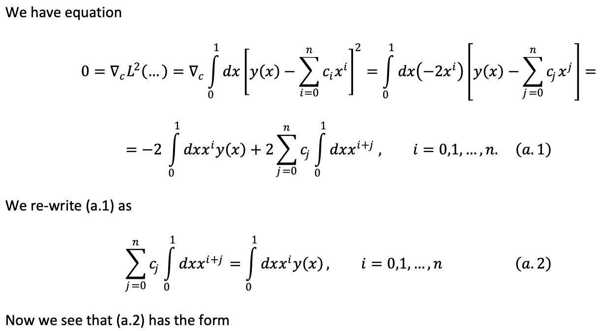
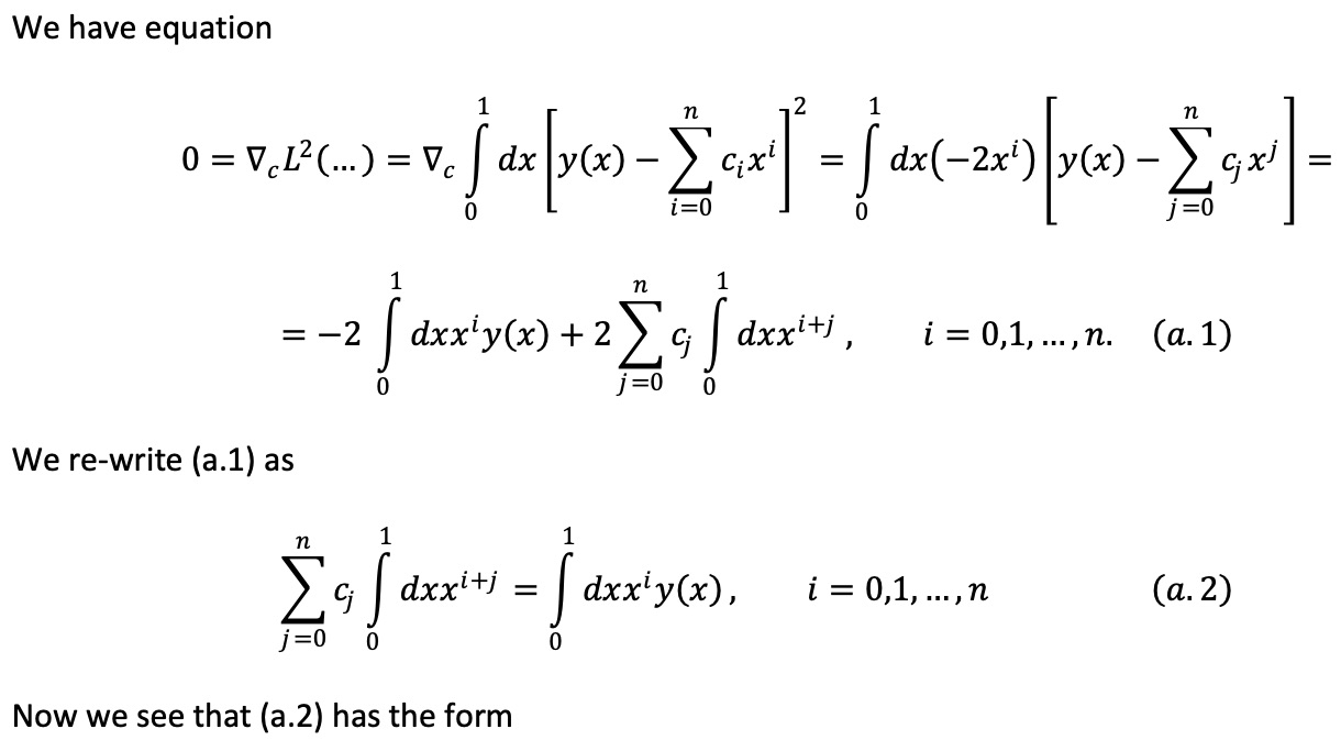
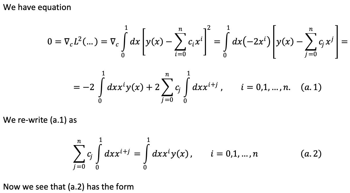
4. Matrix Norms, Eigenvalues, Eigenvectors, & Condition Numbers...
4. Matrix Norms, Eigenvalues, Eigenvectors, & Condition Numbers...